Ministerio de Industria, Turismo y Comercio LogoMinisterior
 

Alerta

Resultados 84 resultados
LastUpdate Última actualización 22/01/2026 [06:50:00]
pdfxls
Solicitudes publicadas en los últimos 30 días / Applications published in the last 30 days
previousPage Resultados 25 a 50 de 84 nextPage  

PLANT GROWTH PROMOTER, PLANT CULTIVATION COMPOSITION, AND PLANT GROWTH PROMOTION METHOD

NºPublicación:  WO2026014488A1 15/01/2026
Solicitante: 
PANASONIC INTELLECTUAL PROPERTY MAN CO LTD [JP]
\u30D1\u30CA\u30BD\u30CB\u30C3\u30AF\uFF29\uFF30\u30DE\u30CD\u30B8\u30E1\u30F3\u30C8\u682A\u5F0F\u4F1A\u793E
WO_2026014488_PA

Resumen de: WO2026014488A1

A plant growth promoter 1a contains a lipid 11. The lipid 11 is at least one selected from the group consisting of acylglycerols that contain a C10-20 fatty acid residue and a sugar residue, and C10-20 fatty acids.

METHOD FOR MANAGING PRODUCTION OF PLANT GROWTH PROMOTING SUBSTANCE, METHOD FOR PRODUCING PLANT GROWTH PROMOTING SUBSTANCE, APPARATUS FOR MANAGING PRODUCTION OF PLANT GROWTH PROMOTING SUBSTANCE, AND PROGRAM

NºPublicación:  WO2026014489A1 15/01/2026
Solicitante: 
PANASONIC INTELLECTUAL PROPERTY MAN CO LTD [JP]
\u30D1\u30CA\u30BD\u30CB\u30C3\u30AF\uFF29\uFF30\u30DE\u30CD\u30B8\u30E1\u30F3\u30C8\u682A\u5F0F\u4F1A\u793E
WO_2026014489_PA

Resumen de: WO2026014489A1

A method for managing the production of plant growth promoting substance according to the present disclosure includes determining the degree of progress in production of a plant growth promoting substance on the basis of the activity value of lipopolysaccharide contained in a cyanobacterial culture supernatant. The degree of progress is determined, for example, on the basis of time-series data of the activity value of lipopolysaccharide from the start of cyanobacterial culture. The degree of progress may also be determined in accordance with the rate of change of the activity value calculated from the time-series data.

PLANT STRESS TOLERANCE INDUCER AND PLANT STRESS TOLERANCE INDUCTION METHOD

NºPublicación:  WO2026014490A1 15/01/2026
Solicitante: 
PANASONIC INTELLECTUAL PROPERTY MAN CO LTD [JP]
\u30D1\u30CA\u30BD\u30CB\u30C3\u30AF\uFF29\uFF30\u30DE\u30CD\u30B8\u30E1\u30F3\u30C8\u682A\u5F0F\u4F1A\u793E
WO_2026014490_PA

Resumen de: WO2026014490A1

This plant stress tolerance inducer 1a comprises a compound 11 and a lipid 12. The compound 11 is at least one compound selected from the group consisting of nucleosides and modified nucleosides. The lipid 12 is at least one selected from the group consisting of fatty acids having 10-20 carbon atoms and acylglycerols including fatty acid residues having 10-20 carbon atoms.

ALOE EXTRACT-BASED ANTIBACTERIAL COMPOSITION AND PREPARATION METHOD THEREFOR

NºPublicación:  WO2026011524A1 15/01/2026
Solicitante: 
SUZHOU MEMEN BIOLOGICAL TECH LTD [CN]
\u82CF\u5DDE\u9E23\u840C\u751F\u7269\u5DE5\u7A0B\u6709\u9650\u516C\u53F8
WO_2026011524_PA

Resumen de: WO2026011524A1

An aloe extract-based antibacterial composition, which is a nano microemulsion and comprises the following components in percentage by mass according to soluble solids: 0.50%-10% of an aloe extract, 0.50%-5.0% of polylysine, 0.50%-20% of a caprylohydroxamic acid, 6.0%-20% of a surfactant, 15%-60% of a solvent, the remainder being water. A preparation method for the antibacterial composition comprises: mixing polylysine, an aloe extract, a caprylohydroxamic acid, a surfactant, a solvent, an optional auxiliary agent, and water, and carrying out ultrasonic treatment to prepare a uniform nano microemulsion. The aloe extract, the polylysine and the caprylohydroxamic acid are compounded by means of a microemulsion system, thereby achieving a synergistic effect, and greatly improving an antibacterial effect; and the antibacterial composition is green and safe and can serve as a bacteriostatic agent to be used in products such as daily necessities, washing and caring cosmetics and baby products.

COMPOSITIONS AND METHODS FOR TREATING BACTERIAL DISEASE

NºPublicación:  WO2026015688A1 15/01/2026
Solicitante: 
ARIZONA BOARD OF REGENTS ON BEHALF OF THE UNIV OF ARIZONA [US]
ARIZONA BOARD OF REGENTS ON BEHALF OF THE UNIVERSITY OF ARIZONA
WO_2026015688_PA

Resumen de: WO2026015688A1

The present invention relates to compositions and methods for preventing and/or treating bacterial disease (e.g., disease caused by Neisseria spp. such as Neisseria gonorrhoeae or Neisseria meningitidis). In particular, the present invention provides compositions comprising an effective amount of a nucleic acid, wherein such compositions are capable of killing or inhibiting the growth of a Neisseria spp and sensitizing Neisseria spp to antibiotic treatment.

GRASS ENDOPHYTES

NºPublicación:  AU2025271192A1 15/01/2026
Solicitante: 
RAGT 2N
RAGT 2n
AU_2025271192_A1

Resumen de: AU2025271192A1

James & Wells ref: 308713AUDIV3 A method of improving the viability, persistence and/or vigour of a host grass in the form of Lolium perenne, Lolium multiflorum Lolium ×hybridum host grass) which includes the step of: artificially inoculating the host grass with an LpTG-1 RGT15 endophyte strain; so the LpTG-1 RGT15 endophyte strain can: produce at least one alkaloid or combination of alkaloids that provide the plant with a favorable alkaloid profile; and/or protect the plant from biotic stresses. James & Wells ref: 308713AUDIV3 ov a m e s & e l l s r e f : o v

Process for treating a vine cultivation and use of an inactivated yeast or derivative thereof for treating a vine cultivation

NºPublicación:  AU2025204767A1 15/01/2026
Solicitante: 
ENOLOGICA VASON S P A
Enologica Vason S.p.A
AU_2025204767_A1

Resumen de: AU2025204767A1

- 17 - Process for treating a vine cultivation, which involves inserting an active yeast for winemaking use with a water residue of at least 40% into a pressurization chamber, inside which a fluid is forced at a lysis pressure greater than 1000 bar to subject the active yeast to said lysis pressure with consequent breakage of the molecular structure of the yeast and obtaining an inactivated yeast or derivative thereof containing a free amino acids 5 fraction extracted from the cytosol of the same yeast. The depressurization of the pressurization chamber then takes place and the inactivated yeast or derivative thereof is extracted from the pressurization chamber itself. Furthermore, the method involves dissolving the inactivated yeast or derivative thereof in a solvent in order to obtain a treatment solution, distributing the treatment solution on at least one vine plant of the vine cultivation and allowing the vine plant to absorb the free amino acids fraction extracted from the cytosol. 10 - 19 - Process for treating a vine cultivation, which involves inserting an active yeast for winemaking use with a water residue of at least 40% into a pressurization chamber, inside which a fluid is forced at a lysis pressure greater than 1000 bar to subject the active yeast to said lysis pressure with consequent breakage of the molecular 5 structure of the yeast and obtaining an inactivated yeast or derivative thereof containing a free amino acids fraction extracted from the cytosol of t

METHOD FOR THE CONTROL IN THE FIELD OF INFECTIOUS DISEASES IN PLANTS

NºPublicación:  WO2026012939A1 15/01/2026
Solicitante: 
UNIV DE GIRONA [ES]
UNIVERSITAT DE GIRONA
WO_2026012939_PA

Resumen de: WO2026012939A1

The invention relates to a method for determining an application schedule of a plant defence response eliciting agent, to control a plant disease caused by one or more infectious agents in one or more plants to be treated with said plant defence response eliciting agent. The invention further relates to a phytosanitary composition comprising said plant defence response eliciting agent and uses and methods thereof for the control in the field of a plant disease.

COMPOSITIONS COMPRISING KOCHIA EXTRACTS AND METHODS OF MAKING, USING, AND DETECTING SUCH COMPOSITIONS

NºPublicación:  US20260013516A1 15/01/2026
Solicitante: 
POLLEN ENERGY BIOSTIMULANT LLC [US]
Pollen Energy Biostimulant LLC
US_20260013516_PA

Resumen de: US20260013516A1

The disclosure relates to the technical field of agriculture, and in particular relates to the application of Kochia scoparia extracts in plant growth. Disclosed is a composition including Kochia extract and method of promoting plant growth by treating a plant with a composition including Kochia extract. The Kochia extract disclosed herein is an extract from a part of a Kochia scoparia (L.) Schrad plant, such as the root, stem, leaf, and/or fruit of the plant.

METHODS AND COMPOSITIONS FOR THE CONTROL IN THE FIELD OF INFECTIOUS DISEASES IN PLANTS

NºPublicación:  EP4678003A1 14/01/2026
Solicitante: 
UNIV GIRONA [ES]
Universitat de Girona
EP_4678003_PA

Resumen de: EP4678003A1

The invention relates to a method for determining an application schedule of a plant defence response eliciting agent, to control a plant disease caused by one or more infectious agents in one or more plants to be treated with said plant defence response eliciting agent. The invention further relates to a phytosanitary composition comprising said plant defence response eliciting agent and uses and methods thereof for the control in the field of a plant disease.

TARGETING CELLS IN STRESSED GROWING CONDITIONS

NºPublicación:  EP4677075A2 14/01/2026
Solicitante: 
SNIPR BIOME APS [DK]
SNIPR Biome ApS
WO_2024184403_PA

Resumen de: WO2024184403A2

The present invention provides method of killing first cells (for example pathogenic cells) which are slow-growing under stress conditions (for example, stationary phase cells, stressed cells, persister cells, biofilm cells and dormant cells) by providing a vector encoding a toxic agent or component thereof under the control of a stress-phase active (SPA) promoter. The invention also provides methods of expressing proteins of interest (POIs) in such slow-growing cells under stress conditions, which POIs may be therapeutic molecules and reporter genes for example, by providing a vector encoding a POI under the control of a SPA promoter. There are provided methods of treatment using such vectors.

消毒用組成物及び消毒用システム

NºPublicación:  JP2026004479A 14/01/2026
Solicitante: 
マークスベリーブルーパールエルエルシー
JP_2026004479_PA

Resumen de: MX2022011022A

A disinfectant system, comprising a first aqueous composition having a peracid reactant compound that is either a peroxide compound or an organic acid compound, and a second aqueous composition comprising the peracid reactant compound not selected for the first composition. Each composition is applied separately to, and combined upon, a surface to form a reaction layer, within which a peracid is formed in situ, disinfecting the surface. The compositions can have a flash point, surface tension, and vapor pressure compatible for application as a spray, mist, aerosol, or fog, and can be formulated with an alcohol blend that enables the reaction layer to completely evaporate from the surface after disinfection is complete. In use, the disinfectant systems disclosed herein have up to 99.999% antimicrobial efficacy against organism such as Staphylococcus aureus, Pseudomonas aeruginosa, and Candida auris.

生物活性物質を含有する抗カビ・消臭OSB積層板の調製方法

NºPublicación:  JP2026004189A 14/01/2026
Solicitante: 
百草辺大生物科技(青島)有限公司
JP_2026004189_A

Resumen de: US2025387942A1

The present disclosure discloses a method for preparing an anti-mold and odor-removing oriented strand board (OSB). The anti-mold and odor-removing OSB includes a biologically active substance. The method includes preparing the biologically active substance, preparing a molecular nest carrier, loading the molecular nest carrier with the biologically active substance, preparing a functional impregnating agent, and impregnating a OSB with the functional impregnating agent. Preparing the molecular nest carrier includes first-time modifying zeolite powder, second-time modifying zeolite powder, modifying β-cyclodextrin, mixing, and cross-linking. The anti-mold and odor-removing OSB prepared by the present disclosure exhibits excellent antibacterial, anti-mold and odor-removing performance, high mechanical strength, and superior aging resistance.

COMPOSITIONS AND METHODS FOR PRODUCING A FOOD CONTACT SAFE ANTIMICROBIAL COMPOSITION CONTAINING AN ESSENTIAL OIL COMPLEX

NºPublicación:  EP4676506A1 14/01/2026
Solicitante: 
ONYX LOTUS LLC [US]
Onyx Lotus, LLC
WO_2024187054_PA

Resumen de: MX2025010521A

The present disclosure provides for food contact safe compositions containing an essential oil complex, methods for preparing the food contact safe composition containing an essential oil complex, and method of disinfecting and maintaining the pathogenic sterility of an article when exposed to food contact safe compositions. These food contact safe compositions which contain a metal ion and an essential oil complex are light-stable, non-toxic, non-corrosive, and achieve a greater than 99% kill rate against a variety of pathogens for a period of time greater than 1 day on a variety of articles.

生きた微生物細胞の長期安定化、製剤化、および錠剤化

NºPublicación:  JP2026501091A 14/01/2026
Solicitante: 
マサチューセッツインスティテュートオブテクノロジー
JP_2026501091_PA

Resumen de: US2025288624A1

Provided herein are compositions comprising Escherichia coli (E. coli), Saccharomyces boulardii (S. boulardii), Lactobacillus plantarum (L. plantarum), and/or Ensifer meliloti (E. meliloti) and a first stabilizing excipient. Also provided herein are methods of delivering E. coli, S. boulardii, L. plantarum, and/or E. meliloti to a subject in need thereof, methods of inducing bacterial growth in a subject or in a cell, tissue, or biological sample, and methods of inhibiting an enteric pathogen in a subject or in a cell, tissue, or biological sample. Further provided herein are methods of treating dysbiosis in a subject in need thereof.

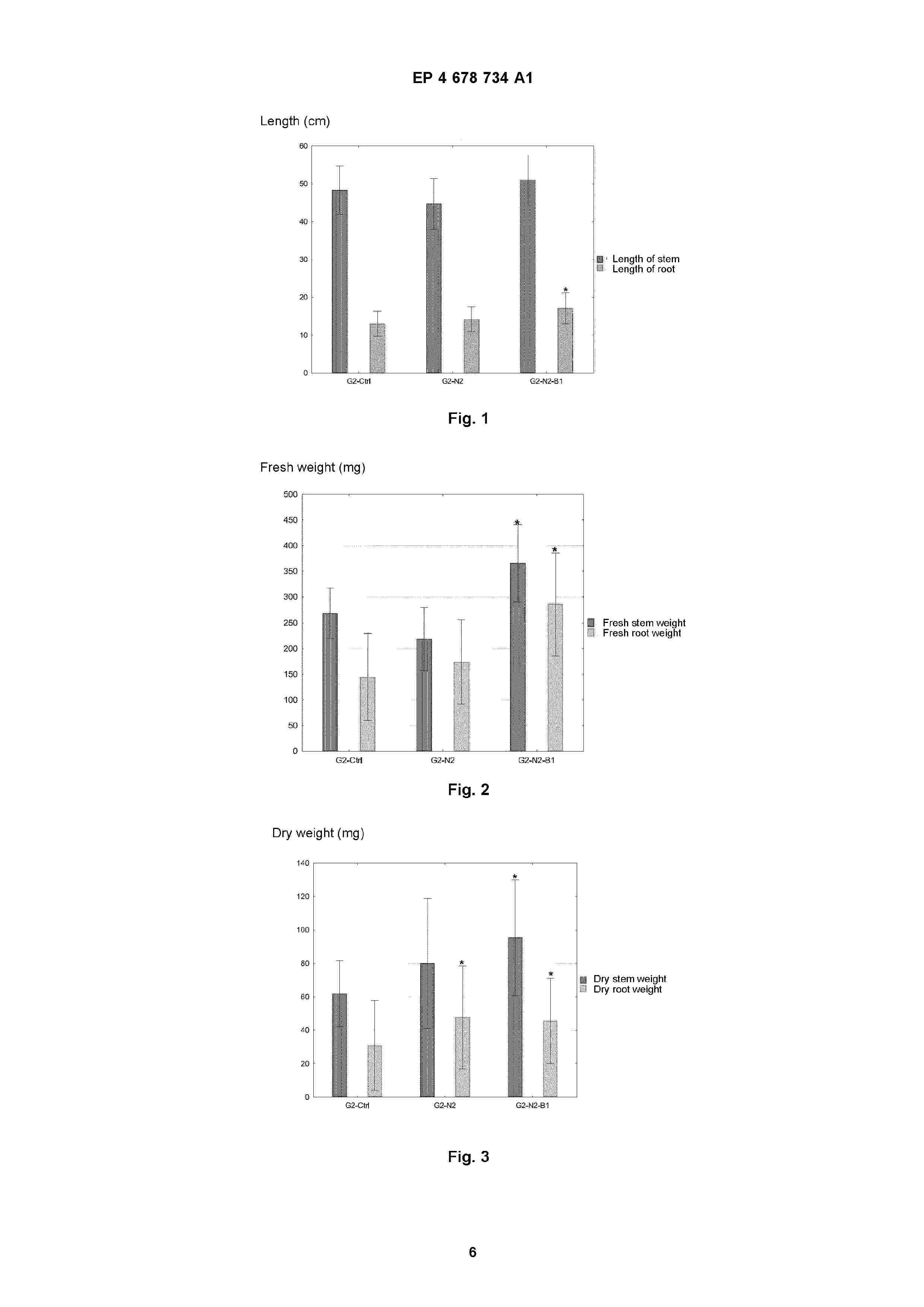
BIOINOCULATE AND THE METHOD OF OBTAINING BIOINOCULATE

NºPublicación:  EP4678734A1 14/01/2026
Solicitante: 
UNIV MIKOLAJA KOPERNIKA W TORUNIU [PL]
Uniwersytet Mikolaja Kopernika w Toruniu
EP_4678734_A1

Resumen de: EP4678734A1

The subject of the invention is a bioinoculum containing a strain of endophytic bacteria and biochar for use as an agricultural biopreparation. A bioinoculum containing an endophytic bacterial strain and biochar is characterised by that the bacterial strain belongs to the genus Labedella.The subject of the invention is also a method of obtaining a bioinoculum containing an endophytic bacterial strain and biochar for use as an agricultural biopreparation. The method of obtaining bioinoculum according to the invention above is characterised by that the initial liquid culture of bacteria of the genus Labedella is transferred to a sterile liquid medium in the ratio of 1 ml of bacterial culture to 100 ml of medium and incubated on a shaker at 120-145 rpm, at a temperature in the range 24-26°C until the bacteria reach a logarithmic growth phase, the biochar is then sieved through a sieve with a mesh size of 0.75 mm or less, whereupon the biochar is mixed with the bacterial suspension at a ratio of 5:100 w/v under sterile conditions and shaken for 2 h on a shaker at 120-145 rpm, at a temperature in the range 24-26°C, then 2% w/v of sodium alginate is added under sterile conditions and shaking is continued for 1 h until a homogeneous mixture is obtained, the resulting suspension is dropped into the mixed and sterilised 2% w/v calcium chloride solution on a magnetic stirrer from a height of 15 cm to 20 cm, then the resulting granules are left in the calcium chloride solution at 4°C

BACTERIAL STRAIN CAPABLE OF OXIDIZING ELEMENTAL SULPHUR AND USE THEREOF FOR STIMULATING PLANT GROWTH

NºPublicación:  EP4678733A1 14/01/2026
Solicitante: 
AZUFRERA Y FERTILIZANTES PALLARES S A U [ES]
Azufrera y Fertilizantes Pallares S.A.U
EP_4678733_A1

Resumen de: EP4678733A1

The present invention provides a new bacterial strain of the genus Variovorax capable of oxidising elemental sulphur, generating sulphate. When added to a soil, the bacterium can transform the elemental sulphur that is present into sulphate, the main soluble form of sulphur that can be absorbed by roots, enabling plants to have more sulphur available for their metabolic needs, favouring their growth, and the yield of their crops. The use of the bacterium, optionally also adding elemental sulphur, to promote plant growth and/or to act as a biostimulant for the plants, as well as to modify or restore soils, especially alkaline, limestone, or saline soils, is proposed since the activity of the bacterium causes the reduction of pH, enrichment with sulphates, structural modifications, increase in porosity, solubilisation of phosphorus salts, and other modifications.

抗菌ペプチドおよびその改変体

NºPublicación:  JP2026501185A 14/01/2026
Solicitante: 
ドナルド・ダンフォース・プラント・サイエンス・センター
JP_2026501185_PA

Resumen de: CN120731217A

Antimicrobial modified defensins or defensin-like peptides, modified C-terminal fragments of defensins or defensin-like peptides, and nucleic acids encoding the same are disclosed. Also disclosed are compositions comprising the defensin variant peptides and methods of using the same to control microbial infections and feed and food contamination in plant and vertebrate subjects.

Producto de café inoculado con cannabidiol (cbd) y proceso de inoculación de cannabidiol (cbd) durante fermentación del café en pergamino con mucílago

NºPublicación:  CO2025017068A1 13/01/2026
Solicitante: 
JARAMILLO GOMEZ MAURICIO [CO]
Jaramillo G\u00F3mez, Mauricio

Resumen de: CO2025017068A1

Se proporciona un producto vegetal en el caso, flores de la especie Cannabis, a la masa del fruto del árbol del café fermentado previamente en cereza. Usando flores de la especie cannabis que contienen mayoritariamente el componente de Cannabidiol (CBD) y menos del 1% de tetrahidrocanabidol (THC), en esta proporción no estimula psicoactivamente al consumidor del producto final, café tostado y preparado. Existe una fermentación prolongada e interrumpida entre el producto vegetal CBD y la masa del fruto del cafeto, inoculando microorganismo durante un periodo de tiempo de 12 a 48 horas.

Utilisation de produits plastiques comprenant du PBSA et un insectifuge pour la répulsion de nuisibles

NºPublicación:  FR3164100A1 09/01/2026
Solicitante: 
UNIV CLAUDE BERNARD LYON 1 [FR]
CENTRE NATIONAL DE LA RECHERCHE SCIENT [FR]
INSTITUT NAT DES SCIENCES APPLIQUEES DE LYON [FR]
INSTITUT NATIONAL DE RECH POUR LAGRICULTURE LALIMENTATION ET LENVIRONNEMENT [FR]
UNIV JEAN MONNET SAINT ETIENNE [FR]
UNIVERSITE CLAUDE BERNARD LYON 1,
CENTRE NATIONAL DE LA RECHERCHE SCIENTIFIQUE,
INSTITUT NATIONAL DES SCIENCES APPLIQUEES DE LYON,
INSTITUT NATIONAL DE RECHERCHE POUR L'AGRICULTURE L'ALIMENTATION ET L'ENVIRONNEMENT,
UNIVERSITE JEAN MONNET SAINT ETIENNE
FR_3164100_A1

Resumen de: FR3164100A1

Utilisation de produits plastiques comprenant du PBSA et un insectifuge pour la répulsion de nuisibles La présente invention est relative à l’utilisation de produits plastiques comprenant du PBSA et un insectifuge pour la répulsion de nuisibles. L’insectifuge est choisi parmi les huiles essentielles, les parties aériennes de plant de patate douce et leurs mélanges. L’invention concerne également un tel produit plastique, ainsi qu’un procédé de fabrication d’un tel produit plastique, de préférence par extrusion.

Nouveau consortium de bactéries rhizosphériques et/ou endophytes favorisant la croissance des plantes

NºPublicación:  FR3164223A1 09/01/2026
Solicitante: 
SOLICAZ [GF]
SOLICAZ
FR_3164223_A1

Resumen de: FR3164223A1

La présente invention concerne un consortium de bactéries isolées qui présente une application dans l'agriculture. En particulier, les bactéries rhizosphériques et/ou endophytes décrites permettant d'apporter un bénéfice à une plante agricole dérivée d’une graine, d’un semis, d’une bouture, d’une plantule ou de tout tissu végétal.

BIOLOGICAL CONTROL OF SOFT ROT AND BIOFILMS BY MICROBIAL PREDATORS ENCAPSULATED IN CARRIERS

NºPublicación:  US20260007134A1 08/01/2026
Solicitante: 
YISSUM RESEARCH DEVELOPMENT COMPANY OF THE HEBREW UNIV OF JERUSALEM LTD [IL]
THE STATE OF ISRAEL MINISTRY OF AGRICULTURE & RURAL DEVELOPMENT AGRICULTURAL RES ORGANIZATION [IL]
YISSUM RESEARCH DEVELOPMENT COMPANY OF THE HEBREW UNIVERSITY OF JERUSALEM LTD,
THE STATE OF ISRAEL, MINISTRY OF AGRICULTURE & RURAL DEVELOPMENT, AGRICULTURAL RESEARCH ORGANIZATION
US_20260007134_PA

Resumen de: US20260007134A1

The present invention provides systems for differential delivery of viable BALOs. The systems comprise a carrier comprising a polysaccharide hydrocolloid, and BALOs immobilized within the carrier, wherein the BALOs are present in a physiological state selected from bdelloplasts, bdellocysts, and APs, which are present at a cell density of at least about 1.0×108 PFU/(g carriers), wherein the polysaccharide hydrocolloid is in a wet or dried-gel form, and wherein the carrier preserves viability and bacteriolytic efficiency of the immobilized BALOs. Further provided are methods for the preparation of the systems for differential delivery of viable BALOs, and methods for use thereof, such as for treatment of phytopathogenic bacterial diseases in plants or crop.

MITE-REPELLENT AND/OR ACARICIDAL COMPOSITION BASED ON ESSENTIAL OILS

NºPublicación:  WO2026008188A1 08/01/2026
Solicitante: 
LABORATOIRE PURESSENTIEL S A [BE]
LABORATOIRE PURESSENTIEL S.A
BE_1031923_B1

Resumen de: WO2026008188A1

The invention relates to a mite-repellent and/or acaricidal composition comprising a non-phthalate plant alcohol, osmosis water, menthol crystals in solution and a set of essential oils. Preferably, the composition is provided as a spray in order to treat, for example, carpets and/or bedding. The advantage of the composition, or of the spray comprising the composition according to the invention, is a markedly extended mite-repellent and/or acaricidal effectiveness in comparison with the mite-repellent and/or acaricidal compositions or sprays of the prior art.

USE OF HOP EXTRACTS OR THEIR MIXTURES FOR CONTROL OF GRAM + BACTERIA IN FERMENTATIONS OF MICROORGANISMS IN THE PRODUCTION OF BIOLOGICAL AGENTS FOR AGRICULTURE

NºPublicación:  US20260007135A1 08/01/2026
Solicitante: 
L N F LATINO AMERICANA CONSULTORIA ASSESSORIA E IMP LTDA [BR]
BETATEC HOP PRODUCTS INC [US]
L N F LATINO AMERICANA CONSULTORIA, ASSESSORIA E IMPORTA\u00C7\u00C3O LTDA,
BETATEC HOP PRODUCTS, INC
US_20260007135_PA

Resumen de: US20260007135A1

Methods for use of hop acids during the fermentation/multiplication process of microorganisms are disclosed. The process uses hop extracts to control gram+bacteria in fermentation of microorganisms in the production of biological agents for agriculture.

CONDITIONING OF CORN STEEP LIQUOR TO PRODUCE HIGH ADDED VALUE ORGANIC MATTER FOR BIOSTIMULANT USE IN PLANTS

Nº publicación: US20260008730A1 08/01/2026

Solicitante:

ATLANTICA AGRICOLA S A [ES]
ATLANTICA AGRICOLA, S.A

US_20260008730_A1

Resumen de: US20260008730A1

A method includes the addition of a broad-spectrum preservative agent to a corn steep liquor, subsequent homogenization to resuspend all solids and mix the preservative appropriately. Then a thickening agent, previously diluted in an alcohol to ensure a good dispersion of same, is added, and everything is homogenized to give rise to a biostimulant corn steep liquor for use as high added value organic matter (biostimulant CSL) with a fertilizing effect.

traducir