Ministerio de Industria, Turismo y Comercio LogoMinisterior
 

Alerta

Resultados 205 resultados
LastUpdate Última actualización 15/12/2025 [06:51:00]
pdfxls
Solicitudes publicadas en los últimos 15 días / Applications published in the last 15 days
previousPage Resultados 150 a 175 de 205 nextPage  

TUNABLE DARPIN-BASED AND/OR ANTI-ANGIOGENIC AND/OR IMMUNOMODULATORY NANOPARTICLE CONJUGATES, CELLULAR IMMUNOHERAPEUTICS, AND USES THEREOF

NºPublicación:  WO2025250839A1 04/12/2025
Solicitante: 
CORNELL UNIV [US]
CORNELL UNIVERSITY
WO_2025250839_A1

Resumen de: WO2025250839A1

Disclosed herein are nanoparticle conjugates (e.g., anti-angiogenic and/or immunomodulatory nanoparticle conjugates, e.g., high-affinity Designed Ankyrin Repeat Protein (DARPin)-based binders targeting one or more cancer and/or immune receptors). The nanoparticle conjugates are useful for therapeutics and/or diagnostics and have a diameter (e.g., average diameter) no greater than 20 nanometers (e.g., as measured by dynamic light scattering (DLS) in aqueous solution, e.g., saline solution).

PHARMACEUTICAL COMPOSITION COMPRISING SIALIC ACID FOR TREATING DISEASES RELATED TO THE LUNG

NºPublicación:  WO2025250539A1 04/12/2025
Solicitante: 
CYTODIGM INC [US]
CYTODIGM, INC
WO_2025250539_A1

Resumen de: WO2025250539A1

The present invention provides a pharmaceutical composition capable of delivering therapeutic agents such as nucleic acids to the lung via systemic administration to treat lung-related diseases. Said composition comprises a non-covalent complex formed by co-precipitating a sialic acid (SA) entity, a complexing agent, and a nucleic acid cargo.

CONTROLLED ASSEMBLY OF LIPID-BASED NANOPARTICLES FROM SURFACTANT MICELLES

NºPublicación:  WO2025250244A1 04/12/2025
Solicitante: 
MASSACHUSETTS INSTITUTE OF TECH [US]
MASSACHUSETTS INSTITUTE OF TECHNOLOGY
WO_2025250244_PA

Resumen de: WO2025250244A1

The disclosure provides particles, including anisotropic particles, and compositions, methods and kits thereof that are useful, e.g., for delivering an agent or in treating or preventing diseases, such as proliferative diseases. The disclosure also provides methods of preparing plurality of such particles and liposomes that provide control over size and morphology.

CANCER-TARGETING DRUG DELIVERY SYSTEM COMPRISING HEPARIN- AND PROTAMINE-BASED SELF-ASSEMBLED NANOPARTICLES

NºPublicación:  WO2025249682A1 04/12/2025
Solicitante: 
GLOCAL INDUSTRY ACADEMIC COOPERATION FOUNDATION KONKUK UNIV [KR]
\uAC74\uAD6D\uB300\uD559\uAD50 \uAE00\uB85C\uCEEC\uC0B0\uD559\uD611\uB825\uB2E8
WO_2025249682_A1

Resumen de: WO2025249682A1

The present invention relates to a cancer-targeting drug delivery system comprising: a protamine-based self-assembling first nanoparticle including a negatively charged substance; and a heparin-based self-assembling second nanoparticle including a positively charged anticancer agent and Fe3+. Specifically, the present invention provides a drug delivery system that forms aggregates at a tumor site by a guidance effect upon administration of the second nanoparticle after administration of the first nanoparticle, and has an anticancer effect through induction of ferroptosis and immunogenic cell death without exhibiting the anticoagulant effect of heparin.

METHOD FOR PRODUCING EXTRACELLULAR VESICLES FOR WOUND HEALING USING ELECTROPORATION

NºPublicación:  WO2025249687A1 04/12/2025
Solicitante: 
SAMSUNG LIFE PUBLIC WELFARE FOUND [KR]
\uC0AC\uD68C\uBCF5\uC9C0\uBC95\uC778 \uC0BC\uC131\uC0DD\uBA85\uACF5\uC775\uC7AC\uB2E8
WO_2025249687_PA

Resumen de: WO2025249687A1

The present invention relates to a method for producing extracellular vesicles into which a therapeutic gene is introduced by electroporation, a wound-healing pharmaceutical composition produced by the method, and a wound-healing pharmaceutical preparation or quasi-drug preparation comprising same as an active ingredient. The extracellular vesicles derived from mesenchymal stem cells (MSCs), fibroblasts, and colostrum, produced by the present method, are all non-cytotoxic, have excellent nucleic acid delivery efficiency, and thus allow for stable expression. In particular, by introducing a vascular endothelial growth factor (VEGF) gene, which is known to have a wound-healing effect, into extracellular vesicles derived from mesenchymal stem cells (MSCs), fibroblasts, and colostrum through electroporation, VEGF gene-introduced extracellular vesicles produced by the production method of the present invention can be used as a gene therapy agent for wound healing.

NOVEL CURCUMIN NANO-FORMULATION AND PROCESS FOR PREPARATION THEREOF

NºPublicación:  WO2025248298A1 04/12/2025
Solicitante: 
SINGH PAWAN KUMAR [IN]
SINGH SARITA [IN]
GAIKWAD VAISHALI HANMANTRAO [IN]
GAIKWAD ADITI HANMANTRAO [IN]
SINGH, Pawan Kumar,
SINGH, Sarita,
GAIKWAD, Vaishali Hanmantrao,
GAIKWAD, Aditi Hanmantrao
WO_2025248298_A1

Resumen de: WO2025248298A1

The present invention provides nano-formulation of Curcumin having nano Curcumin content up to 10% w/w in formulation (up to 90 mg) with 100% solubility in water, - and particle size less than 100 nm with good bioavailability through enhanced permeability and stability, thereby increase in their effectiveness for various therapeutic uses. The nano-formulation of Curcumin is having low particle size and increased efficacy, stability against pH, light, temperature, and humidity.

IONIZABLE LIPID MOLECULE CONTAINING ARGININE STRUCTURE, LIPID NANOPARTICLES COMPRISING SAME, AND USE THEREOF

NºPublicación:  WO2025245869A1 04/12/2025
Solicitante: 
TSINGHUA UNIV [CN]
\u6E05\u534E\u5927\u5B66
WO_2025245869_PA

Resumen de: WO2025245869A1

The present invention relates to an ionizable lipid molecule containing an arginine structure, lipid nanoparticles comprising same, and use thereof. Specifically, provided are an ionizable lipid molecule represented by formula (1) containing a structure of arginine and a derivative thereof, lipid nanoparticles comprising same, a preparation method therefor, and use thereof. Compared with ionizable lipid molecules conventionally used in the art, the lipid nanoparticles prepared from the ionizable lipid molecule represented by formula (1) of the present invention can achieve highly efficient delivery and expression of nucleic acids.

METHOD FOR PRODUCING A HYDROGEL-TYPE MEDICAL DEVICE CONTAINING EMBEDDED COPPER NANOPARTICLES

NºPublicación:  WO2025245652A1 04/12/2025
Solicitante: 
UNIV DE CONCEPCION [CL]
UNIVERSIDAD DE CONCEPCI\u00D3N
WO_2025245652_PA

Resumen de: WO2025245652A1

Disclosed is a method for producing a hydrogel-type medical device, which comprises producing, in advance, copper nanoparticles coated with high-molecular-weight chitosan; and incorporating the particles during the final minutes of a step of crosslinking, which allows the coating to remain on the nanoparticles, preventing the dissolution thereof, and the nanoparticles to be uniformly incorporated into the latticed formation of the hydrogel. Also disclosed are the hydrogel and the use thereof in different types of wounds, burns and ulcerations.

METHODS FOR DIRECTING LIPID NANOPARTICLES IN VIVO

NºPublicación:  AU2024281393A1 04/12/2025
Solicitante: 
VERTEX PHARMACEUTICALS INCORPORATED
VERTEX PHARMACEUTICALS INCORPORATED
AU_2024281393_A1

Resumen de: AU2024281393A1

Compositions and methods for enhancing payload-based gene therapy by increasing the percentage of payload delivered to a non-liver target in a subject by blocking binding of LDL to LDL receptors (LDLR) in the liver, and then administering a payload-based therapy targeting a non-liver tissue.

LIPID NANOPARTICLES AND USES THEREOF

NºPublicación:  AU2024271802A1 04/12/2025
Solicitante: 
THE UNIV OF MELBOURNE
PETER MACCALLUM CANCER INST
THE UNIVERSITY OF MELBOURNE,
PETER MACCALLUM CANCER INSTITUTE
AU_2024271802_A1

Resumen de: AU2024271802A1

The present disclosure relates generally to lipid nanoparticles (LNPs) and compositions comprising the same, and their use in delivery of agents, such as nucleic acid-based therapeutics, in particular to transfection recalcitrant cells and/or to lung tissue.

EXTRACELLULAR VESICLE COMPOSITIONS AND PREPARATION

NºPublicación:  AU2024269259A1 04/12/2025
Solicitante: 
VIRGINIA TECH INTELLECTUAL PROPERTIES INC
VIRGINIA TECH INTELLECTUAL PROPERTIES, INC
AU_2024269259_A1

Resumen de: AU2024269259A1

In various aspects and embodiments provided are compositions containing extracellular vesicles (including modified extracellular vesicles), methods of making preparations of extracellular vesicles, methods of modifying extracellular vesicles and methods of using modified and/or unmodified extracellular vesicles.

PROCESS FOR PREPARATION OF TARGETED LIPID NANOPARTICLES

NºPublicación:  WO2025250906A1 04/12/2025
Solicitante: 
AERA THERAPEUTICS INC [US]
AERA THERAPEUTICS, INC
WO_2025250906_PA

Resumen de: WO2025250906A1

The present invention relates to processes for preparing lipid nanoparticles having an antibody or fragment antibody binding region.

アミド及びエステル官能基を有する脂質及びその製造方法

NºPublicación:  JP2025538957A 03/12/2025
Solicitante: 
サムヤン、ホールディングス、コーポレーション
JP_2025538957_PA

Resumen de: CN120019041A

The present invention relates to a lipid having an amide functional group and an ester functional group and a method for preparing the same, and more particularly, to an ionized lipid which forms a complex with an anionic drug, and which can be used for drug delivery due to a specific structure having an amide functional group and an ester functional group, and a method for preparing the same.

TGF-β1ワクチン

NºPublicación:  JP2025538981A 03/12/2025
Solicitante: 
アイオーバイオテックエーピーエス
JP_2025538981_A

Resumen de: MX2025005144A

The present invention relates to novel polypeptides, which are derived from transforming growth factor beta 1 (TGFβ1; TGFb-1) as well as polynucleotides encoding such polypeptides and compositions comprising such peptides. The present invention is further concerned with ways to increase the selectivity of the immune response to TGFb-1. The invention also concerns uses, and methods of using, said polypeptides, polynucleotides, and compositions.

ポリオキシアルキレンがC1~C3-アルキルオキシメチル側鎖を有するポリ(エチレンオキシド)である、ポリオキシアルキレン-1,2-ジミリストイル-グリセロール化合物

NºPublicación:  JP2025539101A 03/12/2025
Solicitante: 
エボニックオペレーションズゲーエムベーハー
JP_2025539101_A

Resumen de: MX2025005575A

The present invention refers to novel polyoxyalkylene based compounds and their manufacturing method as well as compositions comprising at least one novel polyoxyalkylene based compound and at least one active agent. Furthermore, the present invention refers to the manufacture of the compositions of the present invention as well as their use for the treatment of an illness in mammals or humans.

浮腫性線維硬化性脂肪組織異常を治療及び/又は予防するための方法

NºPublicación:  JP2025539109A 03/12/2025
Solicitante: 
カリウェイバイオファーマシューティカルズカンパニーリミテッド
JP_2025539109_PA

Resumen de: CA3272967A1

It provides a method for treating and/or preventing edematous fibrosclerotic panniculopathy (EFP) in a subject in need thereof. The method includes administering to the subject an effective amount of a pharmaceutical composition. The pharmaceutical composition includes a plurality of amphiphilic nanoparticles having one or more active ingredients encapsulated therein. Each of the amphiphilic nanoparticles is formed by a non-ionic surfactant, a polymeric carrier, or a lipid carrier. The hydrophilic-lipophilic balance (HLB) value of the non-ionic surfactant is greater than 9. The pharmaceutical composition is administered via a parenteral route by an injection, a microneedle, or an implant, or via topical administration or transdermal administration.

C1~C3-アルキルオキシメチル側鎖を有するポリ(エチレンオキシド)とコンジュゲートした脂質

NºPublicación:  JP2025539099A 03/12/2025
Solicitante: 
エボニックオペレーションズゲーエムベーハー
JP_2025539099_PA

Resumen de: MX2025005655A

The present invention refers to novel polyoxyalkylene based compounds and their manufacturing method as well as compositions comprising at least one novel polyoxyalkylene based compound and at least one active agent. Furthermore, the present invention refers to the manufacture of the compositions of the present invention as well as their use for the treatment of an illness in mammals or humans.

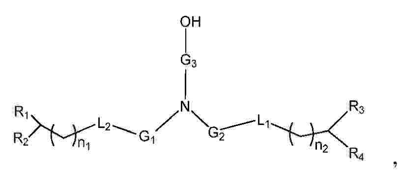
脂質化合物およびその使用

NºPublicación:  JP2025538939A 03/12/2025
Solicitante: 
ファイザー・インク
JP_2025538939_PA

Resumen de: US2025367129A1

Compounds are provided having the following structure: (I) or a pharmaceutically acceptable salt, N-oxide, tautomer or stereoisomer thereof, wherein R1, G1, W and m, n, o and p are as defined herein. Use of the compounds as a component of lipid nanoparticle formulations for delivery of a nucleic acid, compositions comprising the compounds and methods for their use and preparation are also provided.

MIXTURES OF LIPID NANOPARTICLES AND CELL PENETRATING PEPTIDES

NºPublicación:  EP4655406A1 03/12/2025
Solicitante: 
GLASSPEARL OUE [EE]
Glasspearl O\u00DC
WO_2024156871_A1

Resumen de: WO2024156871A1

The present invention provides for a membrane-permeable construct for transport of cargo across a lipid membrane and subsequent delivery of cargo into cells as well as in vivo, wherein the construct comprises a Lipid nanoparticle (LNP) complexed with known or proprietary cell penetrating peptide (CPP) embedding the cargo molecule.

COMPOUND OR SALT THEREOF, LIPID COMPOSITION, PHARMACEUTICAL COMPOSITION, AND DELIVERY CARRIER

NºPublicación:  EP4656628A1 03/12/2025
Solicitante: 
FUJIFILM CORP [JP]
FUJIFILM Corporation
EP_4656628_PA

Resumen de: EP4656628A1

An object of the present invention is to provide a compound or a salt thereof constituting lipid composition that can achieve a high nucleic acid encapsulation rate and excellent delivery of nucleic acids, and to provide a lipid composition, a pharmaceutical composition, and a delivery carrier, using the compound or a salt thereof. According to the present invention, a compound represented by Formula (1) or a salt thereof is provided.In the formula, R<sup>1</sup>, R<sup>2</sup>, R<sup>3</sup>, and R<sup>4</sup> each independently represent a hydrogen atom or a hydrocarbon group having 1 to 24 carbon atoms, which may be substituted, R<sup>5</sup> and R<sup>6</sup> each independently represent a hydrocarbon group having 1 to 18 carbon atoms, which may be substituted, R<sup>7</sup>, R<sup>8</sup>, and R<sup>9</sup> each independently represent a hydrocarbon group having 2 to 8 carbon atoms, and R<sup>5</sup> and R<sup>6</sup>, or R<sup>5</sup> and R<sup>7</sup>, may be combined to form a 4- to 7-membered ring.

A METHOD FOR THE PRODUCTION OF POLYPRENOL NANOEMULSION AND THE POLYPRENOL NANOEMULSION OBTAINED

NºPublicación:  EP4654950A1 03/12/2025
Solicitante: 
PHARMLACRUS SIA [LV]
Pharmlacrus, SIA
WO_2025034098_A1

Resumen de: WO2025034098A1

A method for the production of a polyprenol nanoemulsion involving: - mixing of polyprenols with divalent alcohol in a mass ratio of 1:0.5-2; - the addition of an emulsifier containing polyethylene glycol sorbitan monooleate at a proportion of 50-100% of the mixture of polyprenols and divalent alcohol by mass; - mixing and heating of the resulting mixture for 5-15 minutes at a temperature of 70-80 °C; - dissolving NaCI in water, adding glucose, previously prepared phosphate buffer solution with the pH 6.88 and divalent alcohol, and mixing; - mixing and heating of the resulting aqueous mixture for 5-15 minutes at a temperature of 70-80 °C. A polyprenol nanoemulsion comprising by mass%: polyprenols 2.5-10; emulsifier that contains polyethylene glycol sorbitan monooleate 7-8; divalent alcohol 8-12; NaCI 0.9; glucose 5; phosphate buffer solution with pH 6.88 8-12; water, the rest.

NANOPARTICLES FOR THE DELIVERY OF AN ACTIVE AGENT

NºPublicación:  EP4656180A1 03/12/2025
Solicitante: 
CANTREAT AG [CH]
Cantreat AG
EP_4656180_PA

Resumen de: EP4656180A1

Nanoteilchen (1) zur Verabreichung zumindest eines Wirkstoffs (4), umfassend einen magnetisierbaren Kern (2), wobei der Kern (2) eine Ummantelung (3) aus einem Polyphosphat aufweist, wobei die Ummantelung (3) den Kern (2) vollständig umschließt, dadurch gekennzeichnet, dass die Ummantelung (3) mit einem Wirkstoff (4) versetzt ist.

INJECTABLE COMPOSITIONS OF EMD FRACTION B

NºPublicación:  EP4656213A1 03/12/2025
Solicitante: 
STRAUMANN INST AG [CH]
Institut Straumann AG
EP_4656213_A1

Resumen de: EP4656213A1

The present invention relates to a pharmaceutical, dental and/or cosmetic composition comprising purified and/or isolated matrix derivative (EMD) proteins and a suitable pharmaceutical carrier, characterized in that the purified and/or isolated enamel matrix derivative (EMD) proteins comprised in said composition have a predominant MW of between 10-13kDa and an aggregation particle size of between 20-200 nm at Room Temperature (RT) and a pH of between 6.0-7.5.Said pharmaceutical, dental and/or cosmetic composition is disclosed for use in healing, restoration, enhancement and/or promotion of soft tissue in the oral cavity and/or craniomaxillofacial complex (CMF), in particular for use in treating patients suffering from a gingival deficiency and/or disorder. Preferably, the composition of the invention is administered via injection into the soft tissue in the oral cavity and/or the craniomaxillofacial complex (CMF) of the patient.

A MODIFIED LIPID COMPOSITION AND USES THEREOF

NºPublicación:  EP4654952A1 03/12/2025
Solicitante: 
SAIL BIOMEDICINES INC [US]
Sail Biomedicines, Inc
CN_121057577_A

Resumen de: AU2024212425A1

Disclosed herein are modified lipid compositions comprising (a) a structural component comprising one or more lipids selected from the group consisting of soy-derived lipids, cardiolipin, sphingolipid, ceramide, glucosyl ceramide, lactosyl ceramide, galactosyl cholesterol, glucosyl cholesterol; and modified by (b) an ionizable lipid. The disclosure also includes a method for making a modified lipid composition, comprising reconstructing (a) a structural component comprising one or more lipids selected from the group consisting of soy-derived lipids, cardiolipin, sphingolipid, ceramide, glucosyl ceramide, lactosyl ceramide, galactosyl cholesterol, and/or glucosyl cholesterol in the presence of (b) an ionizable lipid, to produce the modified lipid composition, and loading into the modified lipid composition with one or more heterologous functional agents.

METHODS OF MAKING AND ISOLATING CIRCULAR RNAS AND CIRCULAR RNA COMPOSITIONS

Nº publicación: EP4654953A1 03/12/2025

Solicitante:

METHODIST HOSPITAL [US]
The Methodist Hospital

CN_120813699_A

Resumen de: AU2024211148A1

Provided herein is a method of making circular RNA, a method of isolating circular RNA and compositions comprising circular RNA.

traducir