Ministerio de Industria, Turismo y Comercio LogoMinisterior
 

Alerta

Resultados 143 resultados
LastUpdate Última actualización 12/10/2025 [07:03:00]
pdfxls
Solicitudes publicadas en los últimos 60 días/Published applications in the last 60 days
previousPage Resultados 125 a 143 de 143  

INHIBITORS OF THE CORONAVIRUS ACCESSORY PROTEIN ORF9B

NºPublicación:  EP4603477A1 20/08/2025
Solicitante: 
CONSEJO SUPERIOR INVESTIGACION [ES]
UNIV BARCELONA [ES]
Consejo Superior De Investigaciones Cient\u00EDficas,
Universitat de Barcelona
EP_4603477_PA

Resumen de: EP4603477A1

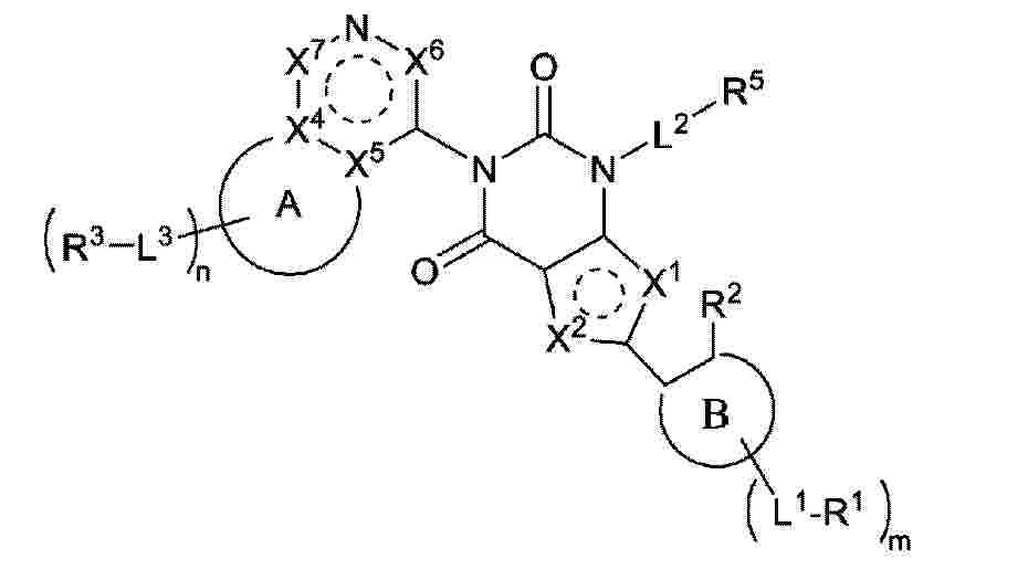
The invention relates to an inhibitor targeting the coronavirus accessory protein ORF9b of formula I, or a pharmaceutical salt thereof, wherein the meanings for the various substituents are as disclosed in the description. Furthermore, the invention relates to its use as a medicament, particularly for the treatment of the hyperinflammation induced by highly pathogenic coronaviruses such as SARS-CoV-2, SARS-CoV or MERS.

SARS-COV-2 ATTACHMENT INHIBITORS AND THERAPEUTIC USE THEREOF

NºPublicación:  WO2025170898A1 14/08/2025
Solicitante: 
UNIV OF FLORIDA RESEARCH FOUNDATION INCORPORATED [US]
UNIVERSITY OF FLORIDA RESEARCH FOUNDATION, INCORPORATED
WO_2025170898_A1

Resumen de: WO2025170898A1

The present disclosure relates to compounds that act as inhibitors against the attachment of the SARS-CoV-2 virus, pharmaceutical formulations thereof, and methods of using the compounds to prevent and treat diseases associated with the SARS-CoV-2 virus.

COVID-19 Simultaneous Diagnostic Tissue

NºPublicación:  KR20250122834A 14/08/2025
Solicitante: 
동신대학교산학협력단

Resumen de: KR20250122834A

본 발명은 코로나 독감 동시 진단 티슈에 관한 것으로, 합성 수지에 의하여 진단 수지가 검사자 피부와 접촉하지 않게 함으로써 현재의 바이러스 검사 방법은 시간이 오래 걸림 코로나와 독감을 동시 진단하지 못함 비 침습적인 방법이 부족하며, 효율적인 비용 관리도 어려움 문제점을 해소하도록 한 것이다. 즉, 본 발명은, 독감 진단 키트, 코로나 진단 키트에 있어서 진단 수지가 검사자 피부와 접촉하지 않게 코로나, 독감 수지 앞에 있고 사각형 모양으로 형성한 합성 수지, 코로나 균 접촉 시 색이 변할 수 있게 합성수지 사이에 있고 사각형 모양 형성한 코로나 진단 수지, 독감 균 접촉 시 색이 변할 수 있게 합성수지 사이에 있고 사각형 모양 형성한 독감 진단 수지로 포함하는 것을 특징으로 한다. 따라서, 본 발명은 합성 수지에 의하여 진단 수지가 검사자 피부와 접촉하지 않게 하여, 현재의 바이러스 검사 방법은 시간이 오래 걸림 코로나와 독감을 동시 진단하지 못함 비 침습적인 방법이 부족하며, 효율적인 비용 관리도 어려움 문제점을 해소하도록 함으로써, 기존의 현재의 바이러스 검사 방법은 시간이 오래 걸림 코로나와 독감을 동시 진단하지 못함 비 침습적인 방법이 부족하며, 효율적인 비용 관리도 어려움 문제�

SPECIALIZED PRO-RESOLVING LIPID MEDIATORS FOR TREATING LONG COVID-19

NºPublicación:  US2025255842A1 14/08/2025
Solicitante: 
SOLUTEX GC S L [ES]
Solutex GC, S.L
US_2025255842_A1

Resumen de: US2025255842A1

The present invention concerns a treatment of Long COVID-19 by using specialized pro-resolving lipid mediators (SPM) or their active precursors. optionally in combination with a non-steroidal anti-inflammatory drug.

BROAD SPECTRUM INHIBITION OF HUMAN CORONAVIRUSES BY LIPOPEPTIDES DERIVED FROM THE C-TERMINAL HEPTAD REPEAT OF BETACORONAVIRUSES

NºPublicación:  US2025257099A1 14/08/2025
Solicitante: 
THE TRUSTEES OF COLUMBIA UNIV IN THE CITY OF NEW YORK [US]
THE TRUSTEES OF COLUMBIA UNIVERSITY IN THE CITY OF NEW YORK
US_2025257099_PA

Resumen de: US2025257099A1

Described are lipopeptides that inhibit coronavirus fusion to a host cell. Thus a therapeutic for treating or preventing the common cold is described along with methods of inhibiting and/or treating an alphacoronavirus infection. The lipopeptides comprise a peptide unit comprising an amino acid sequence having a high degree of sequence identity to a sequence from the C-terminal heptad repeat of a betacoronavirus S protein, such as that of SARS-CoV-2.

SARS-COV2 MAIN PROTEASE INHIBITORS

NºPublicación:  WO2025171130A1 14/08/2025
Solicitante: 
GILEAD SCIENCES INC [US]
GILEAD SCIENCES, INC
WO_2025171130_PA

Resumen de: WO2025171130A1

The present disclosure relates to compounds of Formula I and pharmaceutically acceptable salts thereof, pharmaceutical compositions thereof, useful in the treatment of treating viral infections, for example, coronaviridae infections.

TREATMENT OF INFECTIOUS DISEASE

NºPublicación:  WO2025168689A1 14/08/2025
Solicitante: 
CITY UNIV OF LONDON [GB]
CITY, UNIVERSITY OF LONDON
WO_2025168689_PA

Resumen de: WO2025168689A1

The disclosure relates to treating and preventing coronavirus infections, in particular SARS-CoV-2. The disclosure also relates to treating or preventing cardiovascular symptoms associated with coronavirus infections, including blood clotting, heart attack, stroke, pulmonary embolism and/or thrombosis. The disclosure further relates to antibodies which may be used in such methods.

METHODS AND REAGENTS OF IMMUNOLOGICALLY DETECTING SARS-CoV-2

NºPublicación:  US2025258173A1 14/08/2025
Solicitante: 
FUJIREBIO INC [JP]
FUJIREBIO INC
US_2025258173_PA

Resumen de: US2025258173A1

The present invention provides a method of immunologically detecting SARS-CoV-2, the method comprising detecting a SARS-CoV-2 N protein in a specimen taken from a subject by using the following antibodies (1) and (2):(1) a first antibody to a first epitope in a 306th to 339th amino acid region in the SARS-CoV-2 N protein, and(2) a second antibody to a second epitope in a 365th to 419th amino acid region in the SARS-CoV-2 N protein.

METHOD FOR TREATING SEQUELA OF RNA RIVUS INFECTION

NºPublicación:  WO2025169929A1 14/08/2025
Solicitante: 
CARNA BIOSCIENCES INC [JP]
HIROSHIMA UNIV [JP]
\u30AB\u30EB\u30CA\u30D0\u30A4\u30AA\u30B5\u30A4\u30A8\u30F3\u30B9\u682A\u5F0F\u4F1A\u793E,
\u56FD\u7ACB\u5927\u5B66\u6CD5\u4EBA\u5E83\u5CF6\u5927\u5B66
WO_2025169929_A1

Resumen de: WO2025169929A1

The present invention provides a method for treating a sequela of an infection by a SARS-CoV-2 virus, the method including administering an inhibitor of an RNA-dependent RNA polymerase (RdRp) of the virus to a patient who needs the treatment. Also provided are: a method for screening for a therapeutic agent for a sequela of an infection by the virus; and a model mouse useful for the method.

COMPOSITIONS AND METHODS FOR MUCOSAL VACCINATION AGAINST SARS-COV-2

NºPublicación:  US2025257100A1 14/08/2025
Solicitante: 
UNIV OF MARYLAND COLLEGE PARK
University of Maryland, College Park
US_2025257100_PA

Resumen de: US2025257100A1

Disclosed are peptides comprising a monomeric Fc fragment of an immunoglobulin recognized by a FcRn; SARS-CoV-2 antigen; and a trimerization domain. Disclosed are peptide complexes comprising three peptides, wherein each of the three peptides comprises a monomeric Fc fragment of an immunoglobulin recognized by a FcRn; SARS-CoV-2 antigen; and a trimerization domain. Disclosed are compositions comprising any of the disclosed peptides or peptide complexes. Disclosed are methods for eliciting a protective immune response against SARS-CoV-2 comprising administering to a subject an effective amount of one or more of the compositions disclosed herein. Disclosed are methods of treating a subject exposed to SARS-CoV-2 or at risk of being exposed to SARS-CoV-2 comprising administering to a subject an effective amount of one or more of the compositions disclosed herein.

SARS-COV2 MAIN PROTEASE INHIBITORS

NºPublicación:  WO2025170972A1 14/08/2025
Solicitante: 
GILEAD SCIENCES INC [US]
GILEAD SCIENCES, INC
WO_2025170972_PA

Resumen de: WO2025170972A1

The present disclosure relates to compounds of Formula (I): and pharmaceutically acceptable salts thereof, pharmaceutical compositions thereof, useful in the treatment of treating viral infections, for example, coronaviridae infections.

STABILIZED SPIKE PROTEIN AND METHOD OF USE THEREOF AS A CORONAVIRUS DISEASE 2019 (COVID-19) VACCINE

NºPublicación:  US2025255954A1 14/08/2025
Solicitante: 
WU YUANHAN [US]
WALKER SUSANNE [US]
KULP DANIEL [US]
THE WISTAR INST OF ANATOMY AND BIOLOGY [US]
Wu Yuanhan,
Walker Susanne,
Kulp Daniel,
The Wistar Institute of Anatomy and Biology
US_2025255954_PA

Resumen de: US2025255954A1

Disclosed herein is a new method referred to as Conformational Shifting by Distance and Volume Analysis (CS-DVA) which can be employed to change the dynamics of multi-state glycoproteins for altered immune responses. Also disclosed are stabilized spike antigens and methods of use thereof for SARS-COV-2 vaccines.

A diagnostic device

NºPublicación:  GB2638106A 13/08/2025
Solicitante: 
BIO DIAGNOSTICS LTD [GB]
Bio-Diagnostics Limited
GB_2638106_PA

Resumen de: GB2638106A

A diagnostic device for detecting a first member of a reporter-analyte pair comprising: an inlet for receiving a liquid, biological sample; a porous membrane element comprising a detection portion, the detection portion being in liquid communication with the inlet, wherein the detection portion comprises a second member of the reporter-analyte pair and a variant of the second member of the reporter-analyte pair immobilisable thereon, and wherein an interaction between the first member of the reporter-analyte pair and the second member of the reporter-analyte pair is separately detectable from an interaction between the first member of the reporter-analyte pair and the variant of the second member of the reporter-analyte pair. Preferably the second members of the pair are immobilised at discrete sites and the device further comprises a control. Optionally the second membrane is a biological antigen such as a protein or polypeptide and the first member an antibody. Optionally the antigen is a COVID-19 S1 spike protein.

A spatiotemporal deep learning model for forecasting the development of sudden epidemics modified by historical meteorological data

NºPublicación:  IE20230427U1 13/08/2025
Solicitante: 
LANZHOU UNIV [CN]
LANZHOU UNIVERSITY
IE_20230427_PA

Resumen de: IE20230427U1

This invention discloses a spatiotemporal deep learning model for forecasting the development of sudden epidemics, taking into consideration meteorological factors. The method formulates the short-term prediction problem of regional new COVID-19 cases as a predictive technical issue involving multidimensional, gridded spatiotemporal sequences for both input and prediction targets. To address this, a ConvLSTM spatiotemporal deep model is constructed for predicting COVID-19 case numbers. Furthermore, the model is enhanced by considering the modifying effects of meteorological elements, creating a comprehensive spatiotemporal model called the Meteor-ConvLSTM model that integrates historical meteorological factors. This spatiotemporal model produces timely, downscaled, and high-resolution prediction results. This invention is characterized by high predictive accuracy and strong practicality, making it useful for guiding relevant authorities in understanding the epidemic situation and adjusting decision-making strategies. <Figure 1>

CRYSTAL FORMS OF AN ANTI-SARS COV-2 AGENT

NºPublicación:  EP4598925A1 13/08/2025
Solicitante: 
ENANTA PHARM INC [US]
Enanta Pharmaceuticals, Inc
MX_2025003937_A

Resumen de: MX2025003937A

The present invention features crystalline forms of Compound I, including polymorphs and pseudopolymorphs, which are useful in the preparation of pharmaceutical compositions.

SARS-COV-2 MPRO INHIBITORS AND USES THEREOF

NºPublicación:  EP4598937A1 13/08/2025
Solicitante: 
NXERA PHARMA UK LTD [GB]
Nxera Pharma UK Limited
WO_2024074651_A1

Resumen de: WO2024074651A1

This application relates to novel compounds and their use as SARS-CoV-2 Main Protease (Mpro) inhibitors. Compounds described herein may be useful in the treatment of SARS-CoV-2 and related viruses and disorders associated with SARS-CoV-2: Mpro. The application is also directed to pharmaceutical compositions comprising these compounds and the manufacture and use of these compounds and compositions in the treatment of SARS-CoV-2 and related viruses and disorders associated with SARS-CoV-2: Mpro. The compounds and compositions may be useful in preventing death or complications arising due to chronic underlying conditions or comorbidities in patients infected with SARS- CoV-2 and related viruses.

PROTACS USEFUL AGAINST THE MAIN PROTEASE SARS-COV-2

NºPublicación:  EP4598914A1 13/08/2025
Solicitante: 
TOCRIS COOKSON LTD [GB]
HELMHOLTZ ZENTRUM INFEKTIONSFORSCHUNG GMBH [DE]
UNIV LUEBECK [DE]
Tocris Cookson Limited,
Helmholtz-Zentrum f\u00FCr Infektionsforschung GmbH,
Universit\u00E4t zu L\u00FCbeck
WO_2024074848_A1

Resumen de: WO2024074848A1

Compounds of formula (I) are disclosed: or a salt, solvate or tautomer thereof, wherein; MPL comprises a SARS-CoV-2 main protease ligand, X comprises a divalent exit vector; Xi comprises a divalent exit vector; a and b are independently selected from 1 or 2; L comprises a divalent linker, and UL comprises an E3 ubiquitin ligase ligand. Also disclosed are pharmaceutical compositions comprising such compounds or combinations, and methods and reagents using the compounds. Compounds may have therapeutic uses and uses in research.

PROTEOLYSIS-TARGETING CHIMERAS AGAINST THE PAPAIN-LIKE PROTEASE OF SARS-COV-2

Nº publicación: EP4598582A1 13/08/2025

Solicitante:

TOCRIS COOKSON LTD [GB]
HELMHOLTZ ZENTRUM INFEKTIONSFORSCHUNG GMBH [DE]
UNIV LUEBECK [DE]
Tocris Cookson Limited,
Helmholtz-Zentrum f\u00FCr Infektionsforschung GmbH,
Universit\u00E4t zu L\u00FCbeck

WO_2024074849_A1

Resumen de: WO2024074849A1

Compounds of formula (I) are disclosed: or a salt, solvate or tautomer thereof, wherein; PLL comprises a SARS-CoV-2 papain-like protease ligand, X comprises a divalent exit vector; X1 comprises a divalent exit vector; a and b are independently selected from 1 or 2; L comprises a divalent linker, and UL comprises an E3 ubiquitin ligase ligand. Also disclosed are pharmaceutical compositions comprising such compounds or combinations, and methods and reagents using the compounds. Compounds may have therapeutic uses and uses in research.

traducir