Ministerio de Industria, Turismo y Comercio LogoMinisterior
 

Alerta

Resultados 206 resultados
LastUpdate Última actualización 12/10/2025 [06:51:00]
pdfxls
Solicitudes publicadas en los últimos 15 días / Applications published in the last 15 days
previousPage Resultados 100 a 125 de 206 nextPage  

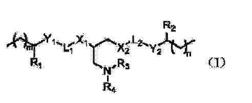
LIPID MATERIAL FOR NUCLEIC ACID DELIVERY AND USE THEREOF

NºPublicación:  WO2025200517A1 02/10/2025
Solicitante: 
PEKING UNIV [CN]
NINGBO INSTITUTE OF MARINE MEDICINE PEKING UNIV [CN]
\u5317\u4EAC\u5927\u5B66,
\u5317\u4EAC\u5927\u5B66\u5B81\u6CE2\u6D77\u6D0B\u836F\u7269\u7814\u7A76\u9662
CN_118178664_PA

Resumen de: WO2025200517A1

The present invention provides a lipid material for nucleic acid delivery, wherein the lipid material comprises a compound having structure I. The present invention also provides use of the lipid material for nucleic acid delivery in the preparation of a therapeutic drug for one or more selected from an infectious disease, a tumor disease, a congenital hereditary disease, and an immune disease. By means of the lipid material provided in the present invention and adopting a nucleic acid drug carrier strategy with high efficiency and low toxicity, a novel ionizable lipid and an auxiliary lipid material are mixed to encapsulate nucleic acid drugs, so that efficient and safe delivery of the nucleic acid drugs in vivo is achieved, and the druggability of the nucleic acid drugs is improved.

SUPEROXIDE DISMUTASE-BASED NANOSCALE TRANSDERMAL DELIVERY SYSTEM AND PREPARATION METHOD THEREFOR

NºPublicación:  WO2025200113A1 02/10/2025
Solicitante: 
SHANGHAI JIAO TONG UNIV [CN]
GUANGZHOU ZHUYAN COSMETICS CO LTD [CN]
\u4E0A\u6D77\u4EA4\u901A\u5927\u5B66,
\u5E7F\u5DDE\u8331\u989C\u5316\u5986\u54C1\u6709\u9650\u516C\u53F8
CN_119837842_PA

Resumen de: WO2025200113A1

Provided is a superoxide dismutase-based nanoscale transdermal delivery system, which is a capsule composite structure consisting of a small molecule active ingredient, superoxide dismutase, and a polymer coating. The small molecule active ingredient is loaded in the superoxide dismutase, and the surface of the superoxide dismutase is coated with the polymer coating. The superoxide dismutase-based active ingredient transdermal delivery system has a diameter of 20-100 nm, and the polymer coating has a thickness of 7.5-52.5 nm. In the delivery system, the polymer coating protects the superoxide dismutase and the small molecule functional substance having an antioxidant effect, and the capsule composite structure is in the form of nanogel. The nanogel not only promotes the penetration depth of the delivery system, but also mitigates the stimulation of the delivery system to the skin. The delivery system features biofriendly starting materials, simple preparation method, and high yield, and thus can be produced in large scale industrially.

BIOCOMPATIBLE AND BIODEGRADABLE POLYMER NANODISCS AS LIPOPROTEIN-MIMICKING NANOCARRIERS WITH HIGH STABILITY AND LONG CIRCULATION TIME FOR DRUG DELIVERY

NºPublicación:  WO2025207519A1 02/10/2025
Solicitante: 
TEXAS TECH UNIV SYSTEM [US]
TEXAS TECH UNIVERSITY SYSTEM

Resumen de: WO2025207519A1

Embodiments of the present disclosure pertain to an active agent carrier that includes a disc-shaped membrane with a plurality of self-assembled amphiphilic block copolymers encased by membrane stabilizing agents, where the amphiphilic block copolymers include hydrophilic blocks and hydrophobic blocks, and where at least one active agent is associated with the disc-shaped membrane. Tunable numbers of targeting agents may also be associated with the disc-shaped membrane. Additional embodiments pertain to methods of delivering one or more active agents to a subject by administering to the subject an active agent carrier of the present disclosure. Further embodiments pertain to methods of making an active agent carrier of the present disclosure.

CATIONIC LIPID COMPOUND, PREPARATION METHOD THEREFOR, COMPOSITION COMPRISING SAME, AND USE THEREOF

NºPublicación:  WO2025200270A1 02/10/2025
Solicitante: 
COSYCHEM TECH TIANJIN CO LTD [CN]
\u5929\u6D25\u5168\u548C\u8BDA\u79D1\u6280\u6709\u9650\u8D23\u4EFB\u516C\u53F8
CN_117964577_PA

Resumen de: WO2025200270A1

A cationic lipid compound, a preparation method therefor, a composition comprising same, and a use thereof, relating to the technical field of biomedicine. The cationic lipid compound has relatively high transfection efficiency and relatively low cytotoxicity by introducing at least one protonatable polar headgroup containing a secondary or tertiary amine and at least two hydrophobic tails containing a specified number of carbons, and connecting the polar headgroup and the hydrophobic tails by means of a specific linker chain.

NANOCOMPOSITION COMPRISING MODIFIED EXATECAN AND USE THEREOF

NºPublicación:  WO2025207828A1 02/10/2025
Solicitante: 
FULGENT PHARMA LLC [US]
FULGENT PHARMA LLC

Resumen de: WO2025207828A1

This disclosure is directed to payload bioactive agents (PBAs) that include modified exatecans. This disclosure is also directed to bioactive compositions and pharmaceutical compositions for treating cancer. The pharmaceutical compositions comprise a polymer, a targeting bioactive agent (TBA), a PBA comprising a modified exatecan that is covalently linked to the TBA directly or indirectly, a linker that can comprise a cleavable linker, and a pharmaceutical suitable carrier. The pharmaceutical compositions can be antibody-drug conjugates (ADCs) for treating cancers, with the potential for treating tumors having negative or low (AgLow) tumor antigens.

FREEZE-DRYING COMPOSITION, METHOD FOR PRODUCING FREEZE-DRIED CELLS, AND PHARMACEUTICAL COMPOSITION

NºPublicación:  WO2025206286A1 02/10/2025
Solicitante: 
SANYO ONODA CITY PUBLIC UNIV CORPORATION [JP]
\u516C\u7ACB\u5927\u5B66\u6CD5\u4EBA\u5C71\u967D\u5C0F\u91CE\u7530\u5E02\u7ACB\u5C71\u53E3\u6771\u4EAC\u7406\u79D1\u5927\u5B66

Resumen de: WO2025206286A1

The present invention addresses the problem of providing a composition for freeze-drying cells with which it is possible to suppress a decrease in survival rate or a decrease in particle size when the cells are reconstituted after freeze-drying. The composition for freeze-drying cells contains (a) a hydrophobic substance such as (a-1), (a-2), etc., and (b) nanoparticles formed from monolayers or bilayers of amphiphilic molecules, where: (a-1) is one or more hydrophobic amino acids selected from the group consisting of phenylalanine, leucine, glycine, valine, isoleucine, tryptophan, and alanine; and (a-2) is a dipeptide configured from one or two hydrophobic amino acids selected from the group consisting of phenylalanine, leucine, glycine, valine, isoleucine, tryptophan, and alanine. The composition is characterized by being used added to the cells.

ASTRAGALOSIDE NANOFORMULATION FOR TREATMENT OF HEPATITIS B AND PREPARATION METHOD THEREFOR

NºPublicación:  WO2025200185A1 02/10/2025
Solicitante: 
GUANGZHOU EIGHTH PEOPLES HOSPITAL GUANGZHOU MEDICAL UNIV [CN]
\u5E7F\u5DDE\u533B\u79D1\u5927\u5B66\u9644\u5C5E\u5E02\u516B\u533B\u9662
CN_120713919_PA

Resumen de: WO2025200185A1

An astragaloside nanoformulation for the treatment of hepatitis B and a preparation method therefor. The astragaloside nanoformulation for the treatment of hepatitis B comprises astragaloside and an auxiliary material. The auxiliary material comprises at least one of a polyoxyethylene-polyoxypropylene ether triblock copolymer, phospholipid, albumin, and casein. The compounding of these auxiliary materials and astragaloside can result in an astragaloside nanoformulation with good water solubility and high bioavailability, which exhibits higher safety and efficacy for the treatment of hepatitis B.

CTC RNA-LOADED NANOPARTICLES AND USE THEREOF FOR THE TREATMENT OF CANCER

NºPublicación:  WO2025207807A1 02/10/2025
Solicitante: 
THE UNIV OF FLORIDA RESEARCH FOUNDATION INC [US]
THE UNIVERSITY OF FLORIDA RESEARCH FOUNDATION, INC

Resumen de: WO2025207807A1

The disclosure provides a nanoparticle comprising a positively-charged surface and an interior comprising (i) a core and (ii) at least two nucleic acid layers, wherein each nucleic acid layer is positioned between a cationic lipid bilayer, and nucleic acid molecules in the nucleic acid layers comprise a sequence of a nucleic acid molecule expressed by a circulating tumor cell (CTC). The disclosure further provides a method of treating cancer in a subject need thereof, the method comprising administering to the subject the nanoparticle described herein, optionally wherein two or more administrations of the nanoparticle are provided, wherein each administration comprises a nanoparticle comprising RNA comprising a sequence of RNA expressed in a CTC isolated from the subject at different points in time.

SCALABLE AND HIGH THROUGHPUT ASSEMBLY OF LAYER-BY-LAYER NANOPARTICLES

NºPublicación:  WO2025207378A1 02/10/2025
Solicitante: 
MASSACHUSETTS INSTITUTE OF TECH [US]
MASSACHUSETTS INSTITUTE OF TECHNOLOGY

Resumen de: WO2025207378A1

Surface modification of nanoparticles (NPs) via the layer-by-layer (LbL) technique is a approach to generate targeted drug delivery vehicles. A simple and scalable synthesis method for LbL-NPs that can be adapted for clinical translation is of great interest. Presented herein is a robust and scalable method of polymer deposition onto nanoparticles.

SELF-EMBEDDING SILVER NANOPARTICLE BIOMASS WASTE COMPOSITIONS

NºPublicación:  US2025302769A1 02/10/2025
Solicitante: 
THE US SECRETARY OF AGRICULTURE [US]
The United States of America, as represented by the Secretary of Agriculture
US_2025302769_A1

Resumen de: US2025302769A1

Compositions and methods of making and using silver nanoparticles embedded in biomass waste matrixes of various types is described. Exemplified compositions include a silver nanoparticle embedded in a cotton gin waste nanofiber composite. Compositions and methods of making and using aerogels comprising silver nanoparticles in cotton gin waste nanofiber are described. Exemplified uses of compositions include use as antimicrobial agents.

NANOMATERIAL DELIVERY VEHICLE AND METHOD OF USE THEREOF

NºPublicación:  US2025302762A1 02/10/2025
Solicitante: 
UNIV OF CONNECTICUT [US]
University of Connecticut
US_2025302762_A1

Resumen de: US2025302762A1

A self-assembled nanomaterial includes a Janus base nanotube, wherein the Janus base nanotube includes at least one compound represented by Formulas I to XII, or a pharmaceutically acceptable salt thereof. Also described are compositions including the Janus base nanotubes.

IN SITU READY-TO-USE INJECTION FORMULATIONS OF POSACONAZOLE FREE OF CYCLODEXTRIN AND ITS DERIVATIVES

NºPublicación:  US2025302824A1 02/10/2025
Solicitante: 
HEFEI COSOURCE PHARMACEUTICALS CO LTD [CN]
Hefei Cosource Pharmaceuticals Co., Ltd
US_2025302824_A1

Resumen de: US2025302824A1

The present disclosure relates to an in situ ready-to-use injection formulation of posaconazole free of cyclodextrin and derivatives of cyclodextrin, which can be formulated in situ as a nanosuspension injection of posaconazole by a simple dilution operation during clinical use. The formulation has no adverse effects on the renal function of patients, no extreme pH, and low vascular irritation, and can be administrated without the need for central venous cannulation during clinical use. The present disclosure also relates to a method for preparing the formulation and the use of the formulation in the treatment and prevention of fungal infections.

LIPIDS, NANOPARTICLES COMPRISING THE SAME AND USES THEREOF

NºPublicación:  US2025302747A1 02/10/2025
Solicitante: 
ACAD SINICA [TW]
Academia Sinica
US_2025302747_A1

Resumen de: US2025302747A1

Disclosed herein are novel lipids, lipid nanoparticlcs and their uses for the transport of therapeutic agents to a subject, or for the treatment and/or prophylaxis of diseases in the subject.

EXTRACELLULAR VESICLES FUNCTIONALIZED WITH AN ERV SYNCITIN AND USES THEREOF FOR CARGO DELIVERY

NºPublicación:  US2025302761A1 02/10/2025
Solicitante: 
INSTITUT NATIONAL DE LA SANTE ET DE LA RECH MEDICALE [FR]
UNIV PARIS CITE [FR]
UNIV PARIS SCIENCES ET LETTRES [FR]
INSTITUT NATIONAL DE LA SANT\u00C9 ET DE LA RECHERCHE M\u00C9DICALE,
UNIVERSIT\u00C9 PARIS CIT\u00C9,
UNIVERSIT\u00C9 PARIS SCIENCES ET LETTRES
US_2025302761_A1

Resumen de: US2025302761A1

EVs are being recognized as vectors for drug delivery. In particular. EV loading with targeting and therapeutic agents brings along an interesting opportunity to translate EVs into a bio-mimetic selective delivery system. Indeed. EVs constitute a physiological carrier being potentially less immunogenic than artificial delivery vehicles. The inventors now developed a novel method to control the loading of a cargo into EVs on demand. These EVs are equipped, if necessary, with non-viral fusogen, therefore enhancing EV-cargo delivery into acceptor cells. To acutely measure this process, they follow the fate of a luciferase-tagged cargo. Cargo loading was enabled through a drug-reversible inducible dimerization system. Briefly, donor cells were transfected with plasmids encoding for FKBP-tagged CD63, a classical membrane EV marker, and FRB-Nanoluciferase (NLuc) that is normally cytosolic. Upon addition of the dimerizing drug. FRB-Nluc interacts with FKBP-CD63 and is recruited into secreted EVs. This is accompanied by an enhanced delivery into acceptor cells. This phenomenon can be further enhanced when EVs are equipped with syncitin1, a mammalian fusogenic protein that trigger fusion between EV membrane and the plasma membrane of acceptor cells. Using this novel process, the inventors further demonstrated that the catalytic domain of the Diphteria toxin (DTA), that is responsible for protein synthesis inhibition and ultimately cell death, can be delivered to acceptor cells via fun

NANOPARTICLE DOPED POLYETHYLENE GLYCOL BASED GELS AND MEDICAL DEVICES FOR DRUG DELIVERY

NºPublicación:  US2025302768A1 02/10/2025
Solicitante: 
THE GENERAL HOSPITAL CORP [US]
The General Hospital Corporation
US_2025302768_A1

Resumen de: US2025302768A1

Provided herein are compositions, kits, and methods of making biodegradable compositions for localized drug delivery. The drug delivery compositions include one or more therapeutic agents that are dispersed within polymerized macromers of the drug delivery composition, loaded within biopolymeric nanoparticles within the drug delivery composition, or both. The release profiles of the one or more therapeutic agents are tunable based on the one or more therapeutic agents for a desired application.

Targeted Lipid Nanoparticles

NºPublicación:  US2025302987A1 02/10/2025
Solicitante: 
ZITRA MEDICINES PTY LTD [AU]
Zitra Medicines Pty Ltd
US_2025302987_A1

Resumen de: US2025302987A1

The present invention relates to engineered targeted lipid nanoparticles (LNPs) comprising a nucleic acid, and compositions thereof, wherein the LNPs or compositions are capable of traversing the blood brain barrier (BBB) and delivering nucleic acid cargoes to a target tissue or cell in the central nervous system. In one aspect, the invention relates to the treatment of a neurological disease or disorder with a LNP or composition of the invention.

SYSTEMS AND METHODS FOR SUPER-RESOLUTION OPTICAL IMAGING TECHNOLOGIES AND/OR NANOSENSOR-DRIVEN PATIENT MONITORING AND/OR TREATMENT

NºPublicación:  US2025303001A1 02/10/2025
Solicitante: 
MEMORIAL SLOAN KETTERING CANCER CENTER [US]
CORNELL UNIV [US]
Memorial Sloan Kettering Cancer Center,
Cornell University
US_2025303001_A1

Resumen de: US2025303001A1

Described herein are systems and methods for intracellular imaging, assessment, and/or treatment of tissue before, during, and/or after surgical procedures using nanoparticles (e.g., less than 50 nanometers in diameter, e.g., photoswitchable nanoparticles) and/or a super-resolution microscope system. The present disclosure describes nanoparticles (e.g., nanosensors and photoswitchable nanoparticles) that are used to monitor and/or track changes in environmental conditions and/or analytes in the cellular microenvironment before, during, and/or after surgical procedures. The present disclosure also describes systems and methods that provide information related to the distribution and/or delivery of photoswitchable nanoparticles at super resolution (e.g., using super-resolution microscopy).

ENHANCING NON-VIRAL DNA DELIVERY AND EXPRESSION

NºPublicación:  US2025302990A1 02/10/2025
Solicitante: 
SPARK THERAPEUTICS INC [US]
Spark Therapeutics, Inc
US_2025302990_A1

Resumen de: US2025302990A1

The present invention features method and composition that can be used to facilitate intracellular delivery of DNA to a subject. The provided methods and compositions employ a nanoparticle for intracellular DNA delivery and a type 1 interferon receptor pathway inhibitor. The type 1 interferon receptor pathway inhibitor is provided to decrease the subject's immune response that can be stimulated by the DNA.

FULVESTRANT FORMULATIONS

NºPublicación:  US2025302966A1 02/10/2025
Solicitante: 
EAGLE PHARMACEUTICALS INC [US]
Eagle Pharmaceuticals, Inc
US_2025302966_A1

Resumen de: US2025302966A1

Long term storage stable fulvestrant-containing compositions are disclosed. The compositions can include fulvestrant; a solvent selected from dimethyl sulfoxide (DMSO), glycofurol, N-methyl pyrrolidone, and mixtures thereof; an oil mixture selected from a mixture of caprylic and capric triglycerides, a mixture of caprylic, capric and linoleic triglycerides, a mixture of caprylic, capric and succinic triglycerides, and a mixture of propylene glycol dicaprylate and propylene glycol dicaprate; and a sustained release member selected from benzyl benzoate, dihydrolipoic acid, benzyl alcohol and lipoic acid. The fulvestrant-containing compositions have less than about 5% total impurities, on a normalized peak area response (“PAR”) basis as determined by high performance liquid chromatography (“HPLC”) at a wavelength of 223 nm, after at least about 24 months of storage at a temperature of from about 5° C. to about 25° C.

PEPTIDES AND NANOPARTICLES FOR INTRACELLULAR DELIVERY OF MOLECULES

NºPublicación:  US2025302963A1 02/10/2025
Solicitante: 
AADIGEN LLC [US]
AADIGEN, LLC
US_2025302963_A1

Resumen de: US2025302963A1

The present invention pertains to peptides and peptide-containing complexes/nanoparticles that are useful for delivering cargo molecules (such as a nucleic acid) into a cell.

NOVEL LIPID BASED ON OLIGO-GAMMA-GLUTAMIC ACID DERIVATIVE, LIPID NANOPARTICLES COMPRISING SAME, AND USE THEREOF

NºPublicación:  WO2025206461A1 02/10/2025
Solicitante: 
KOREA INSTITUTE OF SCIENCE AND TECH [KR]
\uD55C\uAD6D\uACFC\uD559\uAE30\uC220\uC5F0\uAD6C\uC6D0
US_2025302991_A1

Resumen de: WO2025206461A1

The present invention relates to a novel lipid derivative compound comprising an oligo-gamma-glutamic acid, a lipid nanoparticle composition comprising the same, and the like. According to the present invention, the compound can form lipid nanoparticles by replacing PEGylated lipids, and thus can prevent side effects such as anaphylaxis and has excellent in vivo stability.

MICROPROJECTION ARRAYS

NºPublicación:  WO2025199580A1 02/10/2025
Solicitante: 
VAXXAS PTY LTD [AU]
VAXXAS PTY LIMITED

Resumen de: WO2025199580A1

The present invention relates to formulations, devices and methods for coating surfaces of microprojections on microprojection arrays with nucleic acids. The present invention also relates to formulations and methods for coating surfaces of microprojections with nucleic acids where the nucleic acids are associated with lipid nanoparticles (LNP), in particular where the nucleic acid is mRNA.

POLYMERS FOR ENHANCING LIPID NANOPARTICLE DELIVERY OF NUCLEIC ACIDS

NºPublicación:  WO2025207986A1 02/10/2025
Solicitante: 
GENESTAR BIOSCIENCE INC [CA]
THE UNIV OF BRITISH COLUMBIA [CA]
HSU REI CHENG
GENESTAR BIOSCIENCE INC,
THE UNIVERSITY OF BRITISH COLUMBIA,
HSU, Rei-cheng

Resumen de: WO2025207986A1

The present invention provides delivery-enhancing polymers capable of being encapsulated in nanoparticles to enhance release of payload from the nanoparticle wherein the delivery-enhancing polymer comprises a polyamine comprising tertiary amine. The delivery-enhancing polymer may comprise methylated polyethylenimine (mPEI), branched PEI (bPEI), PAMAM dendrimer and/or histidine polymer.

CELL THERAPY

NºPublicación:  WO2025206323A1 02/10/2025
Solicitante: 
OSAKA UNIV [JP]
\u56FD\u7ACB\u5927\u5B66\u6CD5\u4EBA\u5927\u962A\u5927\u5B66

Resumen de: WO2025206323A1

The present disclosure provides a novel modality for a new target disease (e.g. pancreatic cancer). The present disclosure applies a mRNA CAR-T vaccine to CAR-T for a new target disease (e.g., pancreatic cancer). In the present disclosure, it has been revealed, by in vitro and in vivo experiments, that a mRNA CAR-T vaccine that targets FAP as an antigen can achieve a potent anti-tumor effect in in vivo editing. As for a mechanism for inhibiting the effect of a mRNA CAR-T vaccine, the pathways involving regulatory T cells and the like have also been revealed. As for a synergistic effect with an immune checkpoint agonist, a "condition" for achieving a potent anti-tumor effect in vivo has also been revealed through much trial and error.

LIPID COMPOUNDS, COMPOSITIONS AND METHODS OF USE THEREOF

Nº publicación: WO2025207803A1 02/10/2025

Solicitante:

GENERAL THERAPEUTICS INC [US]
GENERAL THERAPEUTICS, INC

Resumen de: WO2025207803A1

Described are compounds, compositions, and methods for delivery of therapeutic, diagnostic, or prophylactic agents (for example, a nucleic acid).

traducir