Ministerio de Industria, Turismo y Comercio LogoMinisterior
 

Alerta

Resultados 139 resultados
LastUpdate Última actualización 25/11/2025 [07:24:00]
pdfxls
Solicitudes publicadas en los últimos 60 días / Last 60 days publications
previousPage Resultados 25 a 50 de 139 nextPage  

PHOSPHO-TAU AGGREGATION-BASED BIOMARKERS FOR ALZHEIMER'S DISEASE DIAGNOSIS, DIFFERENTIATION, AND TREATMENT

NºPublicación:  WO2025231348A1 06/11/2025
Solicitante: 
NORTH CAROLINA CENTRAL UNIV [US]
DUKE UNIV [US]
NORTH CAROLINA CENTRAL UNIVERSITY,
DUKE UNIVERSITY
WO_2025231348_PA

Resumen de: WO2025231348A1

Provided are methods of phospho-tau aggregation-based biomarker discovery, and new utilities for discovered biomarkers in Alzheimer's disease (AD) diagnosis, differentiation, treatment, and identification of the presence of pretangles in a subject. Novel p-tau sites, p-tau198, p-tauS356, p-tau396, and p-tau422, identified through such methods showed comparable or superior characteristics with established p-tau biomarkers, and identified biomarkers were capable of differentiating AD or mild cognitive impairment (MCI) from cognitively normal controls.

MIVELSIRAN COMPOSITIONS AND METHODS OF USE THEREOF

NºPublicación:  AU2024260719A1 06/11/2025
Solicitante: 
ALNYLAM PHARMACEUTICALS INC
ALNYLAM PHARMACEUTICALS, INC
AU_2024260719_A1

Resumen de: AU2024260719A1

The disclosure relates to double stranded ribonucleic acid (dsRNAi) agents and compositions targeting the APP gene, as well as methods of inhibiting expression of an APP gene and methods of treating subjects having an APP-associated disease or disorder, such as Alzheimer's disease (e.g., early onset Alzheimer's disease), using such dsRNAi agents and compositions.

INTRA-STRIATAL CO-TRANSPLANTATION OF AUTOLOGOUS TREG AND MDA CELLS IN PARKINSON'S DISEASE CELL THERAPY

NºPublicación:  AU2024267606A1 06/11/2025
Solicitante: 
THE MCLEAN HOSPITAL CORP
THE MCLEAN HOSPITAL CORPORATION
AU_2024267606_A1

Resumen de: WO2024233788A2

Described herein, inter alia, are compositions and methods of use (e.g., treating Parkinson's Disease and/or reducing the immune response due to needle trauma during cell transplantation) for administering a population of regulatory T (TREG) cells and/or a population of midbrain dopamine (mDA) cells to the brain of a subject.

METHOD AND COMPOSITION FOR TREATING NEURODEGENERATIVE DISORDER

NºPublicación:  US2025340593A1 06/11/2025
Solicitante: 
INSTITUT NATIONAL DE LA SANTE ET DE LA RECH MEDICALE [FR]
CENTRE NATIONAL DE LA RECH SCIENFITIQUE CNRS [FR]
UNIV CLAUDE BERNARD LYON 1 [FR]
UNIV JEAN MONNET SAINT ETIENNE [FR]
INSTITUT NATIONAL DE LA SANT\u00C9 ET DE LA RECHERCHE M\u00C9DICALE,
CENTRE NATIONAL DE LA RECHERCHE SCIENFITIQUE (CNRS),
UNIVERSIT\u00C9 CLAUDE BERNARD - LYON 1,
UNIVERSITE JEAN MONNET SAINT ETIENNE
US_2025340593_PA

Resumen de: US2025340593A1

Inventors have shown evidence of VEGF accumulation in extracellular Aβ plaques in the post-mortem brain of patients with Alzheimer's disease (AD) and of the APP/PS1 mouse model of AD. They identified specific binding domains involved in the direct interaction between A0o and VEGF and engineered a peptide that blocks this interaction. The designed peptide binds to Aβ oligomers with high affinity and inhibits the process of Aβ self-aggregation, leading to the blockade of fibrillar aggregation. Furthermore, the peptide prevents soluble Aβ-derived toxins to target synapses in hippocampal neuron cultures and restores long-term potentiation in the hippocampus of the APP/PS1 mouse model of Alzheimer's disease. Thus, these findings have broad implications for preventing and treating diseases with Aβ neurotoxicity such as Alzheimer's disease. Accordingly, the invention relates to a peptide comprising the amino acid sequence KRKKSRYKSWSVYVG (SEQ ID NO: 1).

COMPOUNDS AND METHODS FOR REDUCING TAU EXPRESSION

NºPublicación:  US2025340872A1 06/11/2025
Solicitante: 
IONIS PHARMACEUTICALS INC [US]
Ionis Pharmaceuticals, Inc
US_2025340872_A1

Resumen de: US2025340872A1

Provided are RNAi agents, methods, and pharmaceutical compositions for reducing the amount or activity of tau RNA in a cell or animal, and in certain instances reducing the amount of tau protein in a cell or animal. Such RNAi agents, methods, and pharmaceutical compositions are useful to ameliorate at least one symptom or hallmark of a neurodegenerative disease, including a tauopathy, Alzheimer's disease, fronto-temporal dementia (FTD), FTDP-17, progressive supranuclear palsy (PSP), chronic traumatic encephalopathy (CTE), corticobasal ganglionic degeneration (CBD), epilepsy, or Dravet's Syndrome.

IMIDAZOLONE DERIVATIVES AS INHIBITORS OF PROTEIN KINASES IN PARTICULAR DYRK1A, CLK1, AND/OR CLK4

NºPublicación:  US2025340539A1 06/11/2025
Solicitante: 
PERHA PHARMACEUTICALS [FR]
PERHA PHARMACEUTICALS
US_2025340539_PA

Resumen de: US2025340539A1

The present invention relates to a compound of formula (I) wherein R1 represents a (C3-C8)cycloalkyl group, a bridged (C6-C10)cycloalkyl group, a fused phenyl group, a substituted phenyl group, a R′-L- group, wherein L is either a single bond or a (C1-C3)alkanediyl group, and R′ represents, a (C3-C8)heterocycloalkyl group, or a (C3-C8)heteroaryl u group, or a R″-L- group wherein L is a (C1-C3)alkanediyl group, and R″ is an optionally substituted phenyl group; R2 is selected from the group consisting of a hydrogen atom and a (C1-C3)alkyl group; R5 represents a hydrogen atom, a (C1-C4)alkyl group or a (C3-C6)cycloalkyl group or any of its pharmaceutically acceptable salt. The present invention further relates to a composition comprising a compound of formula (I) and a process for manufacturing said compound as well as its synthesis intermediates. It also relates to said compound for use as a medicament, in particular in the treatment and/or prevention of cognitive deficits and neuroinflammation associated with Down syndrome; Alzheimer's disease; dementia; tauopathies; Parkinson's disease; CDKL5 Deficiency Disorder; Phelan-McDermid syndrome; autism; type 1 and type 2 diabetes; abnormal folate and methionine metabolism; osteoarthritis and tendinopathy; Duchenne muscular dystrophy; cancers and leukemias; neuroinflammation, anemia, infections caused by unicellular parasites, viral infections and for regulating body temperature.

IMIDAZOLONE DERIVATIVES AS INHIBITORS OF PROTEIN KINASES IN PARTICULAR DYRK1A, CLK1 AND/OR CLK4

NºPublicación:  US2025340538A1 06/11/2025
Solicitante: 
PERHA PHARMACEUTICALS [FR]
PERHA PHARMACEUTICALS
US_2025340538_PA

Resumen de: US2025340538A1

The present invention relates to a compound of formula (I) wherein A, B, C, D and E are selected from the group consisting of ═CH— and —N═, R2 is selected from a hydrogen atom, a (C1-C4)alkyl group and a (C3-C6)cycloalkyl group, R1 represents a (C4-C6)alkyl group, a (C3-C8)cycloalkyl group, a bridged (C6-C10)cycloalkyl group, a fused phenyl group, a substituted phenyl group, a R′-L- group, wherein L is either a single bond or a (C1-C3)alkanediyl group, and R′ represents, a (C3-C8)heterocycloalkyl group, or a (C3-C8)heteroaryl group, or a R′-L- group wherein L is a (C1-C3)alkanediyl group, and R′ is a an optionally substituted phenyl group or any of its pharmaceutically acceptable salt. The present invention further relates to a composition comprising a compound of formula (I) and a process for manufacturing said compound as well as its synthesis intermediates. It also relates to said compound for use as a medicament, in particular in the treatment and/or prevention of cognitive deficits and neuroinflammation associated with Down syndrome, Alzheimer's disease, dementia and/or tauopathies; Parkinson's disease; CDKL5 Deficiency Disorder; Phelan-McDermid syndrome; autism; type 1 and type 2 diabetes; abnormal folate and methionine metabolism; tendinopathy and osteoarthritis; Duchenne muscular dystrophy; several cancers; neuroinflammation, anemia, infections and for regulating body temperature.

4-AMINOPYRROLO2,1-F1,2,4TRIAZINES AND PREPARATION AND USES THEREOF

NºPublicación:  US2025340575A1 06/11/2025
Solicitante: 
BIOSPLICE THERAPEUTICS INC [US]
Biosplice Therapeutics, Inc
US_2025340575_A1

Resumen de: US2025340575A1

4-Aminopyrrolo2,1-f1,2,4triazine compounds for treating various diseases and pathologies are disclosed. More particularly, the present disclosure concerns the use of 4-aminopyrrolo2,1-f1,2,4triazine compounds or analogs thereof, in the treatment of disorders characterized by overexpression of DYRK1A (e.g., cancer, Down syndrome, Alzheimer's disease, diabetes, and osteoarthritis).

OLIGONUCLEOTIDE TARGETING AMYLOID PRECURSOR PROTEIN GENE AND USE THEREOF

NºPublicación:  WO2025228429A1 06/11/2025
Solicitante: 
ANLONG BIOPHARMACEUTICAL CO LTD [CN]
\u5317\u4EAC\u5B89\u9F99\u751F\u7269\u533B\u836F\u6709\u9650\u516C\u53F8
WO_2025228429_A1

Resumen de: WO2025228429A1

An RNAi agent targeting an amyloid precursor protein, such as a double-stranded small interfering RNA (siRNA) agent. A method for inhibiting the expression of the APP gene by using the RNAi agent and a method for preventing and treating APP-related diseases, such as cerebral amyloid angiopathy (CAA) or Alzheimer's disease (AD), including early-onset familial Alzheimer's disease (EOFAD). The siRNA significantly inhibits the expression level of the APP gene and has a long-lasting drug effect.

USE OF SUBSTITUTED 1,4 BENZOQUINONES TO TREAT ALPHA-SYNUCLEINOPATHIES

NºPublicación:  WO2025231245A1 06/11/2025
Solicitante: 
STEALTH BIOTHERAPEUTICS INC [US]
STEALTH BIOTHERAPEUTICS INC
WO_2025231245_A1

Resumen de: WO2025231245A1

The present disclosure provides methods, compounds, compositions, formulations, or medicaments for treating, preventing, inhibiting, ameliorating, or delaying the onset of a- synucleinopathies (e.g., Parkinson's disease (PD), PD with dementia (PDD), dementia with Lewy bodies (LBD), or Multiple System Atrophy (MSA)) as well as methods for ameliorating, inhibiting, or delaying the onset of signs or symptoms of an a-synucleinopathy in a subject. The disclosed methods, compounds, compositions, formulations, or medicaments are also useful for addressing the related signs and symptoms of a- synucleinopathies. The methods comprise administering to the subject the compounds, mixtures of compounds, or compositions, formulations, or medicaments derived from said compounds or mixtures thereof to thereby produce the aforementioned therapeutically beneficial effect(s).

4-AMINOPYRROLO2,L-FL,2,4TRIAZINES AND PREPARATION AND USES THEREOF

NºPublicación:  WO2025231425A1 06/11/2025
Solicitante: 
BIOSPLICE THERAPEUTICS INC [SA]
BIOSPLICE THERAPEUTICS, INC
WO_2025231425_PA

Resumen de: WO2025231425A1

4-Aminopyrrolo2,l-fl,2,4triazine compounds for treating various diseases and pathologies are disclosed. More particularly, the present disclosure concerns the use of 4-aminopyrrolo2,l-fl,2,4triazine compounds or analogs thereof, in the treatment of disorders characterized by overexpression of DYRK1A (e.g., cancer, Down syndrome, Alzheimer's disease, diabetes, and osteoarthritis).

CRYSTALLINE FORM OF A PYRIDAZINE NLRP3 INHIBITOR

NºPublicación:  WO2025229146A1 06/11/2025
Solicitante: 
SANOFI [FR]
SANOFI
WO_2025229146_A1

Resumen de: WO2025229146A1

The present disclosure relates to a compound of formula (I) which is in crystalline Form 1, characterized by having a powder X-ray diffractogram displaying peaks expressed as degree 2-Theta angles at about 3.4, 6.8, 10.3, 13.7, and 20.5. The present disclosure also relates to processes for its preparation, as well as a medicament and a pharmaceutical composition comprising it. The present disclosure further concerns the crystalline Form 1 of compound of formula (I) for use as a medicine and more particularly in the prevention and/or in the treatment of Parkinson's disease, frontotemporal dementia, multiple system atrophy, Alzheimer's disease, multiple sclerosis, amyotrophic lateral sclerosis, or brain injury.

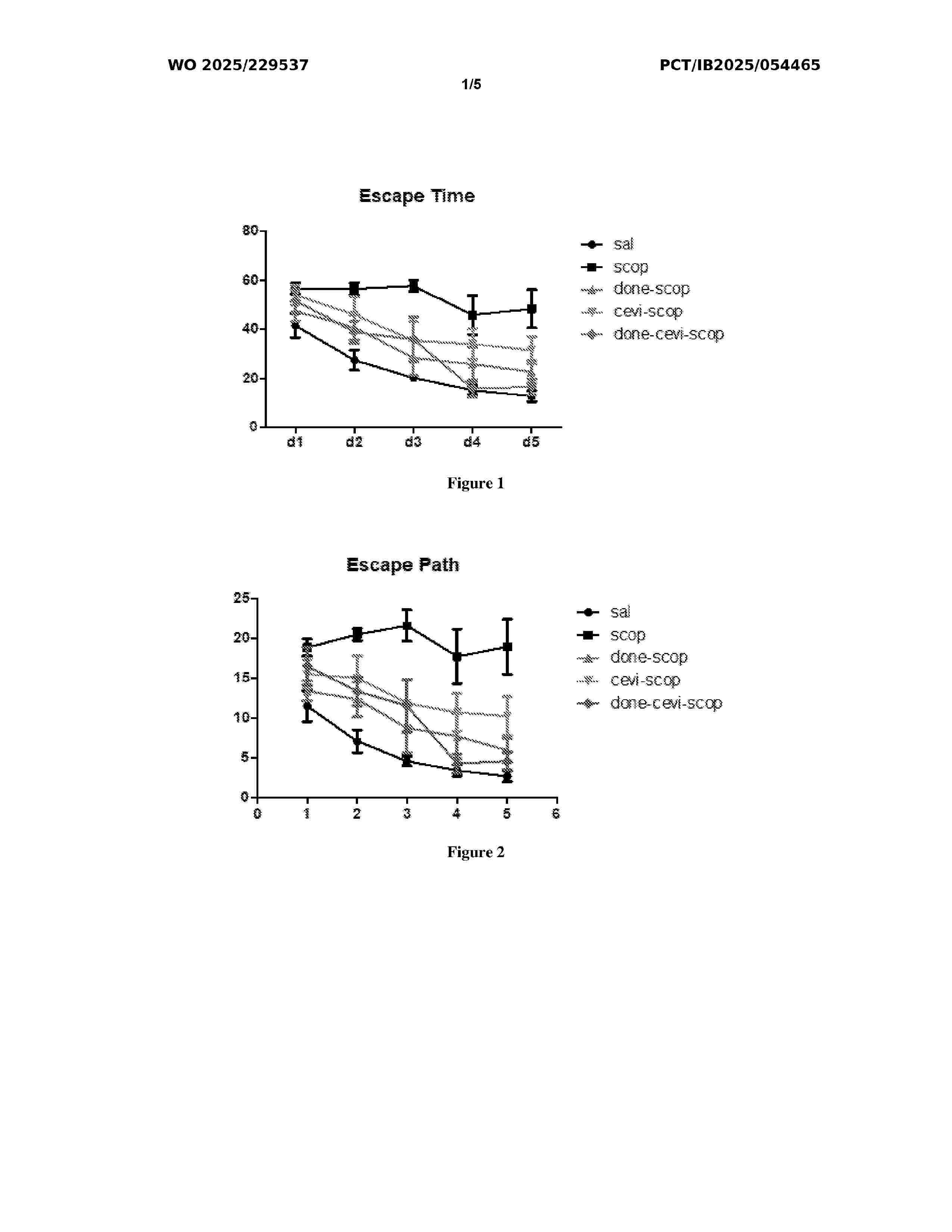
PHARMACEUTICAL COMBINATION OF DONEPEZIL AND CEVIMELINE

NºPublicación:  WO2025229537A1 06/11/2025
Solicitante: 
LUKA ASSETS INC [US]
LUKA ASSETS INC
WO_2025229537_A1

Resumen de: WO2025229537A1

The present invention relates to combination of donepezil or a pharmaceutically acceptable salt thereof and cevimeline or a pharmaceutically acceptable salt thereof for use in the treatment of Alzheimer ́s disease. Furthermore, a pharmaceutical formulation containing donepezil or a pharmaceutically acceptable salt thereof, cevimeline or a pharmaceutically acceptable salt thereof, and at least one pharmaceutically acceptable excipient is provided.

LOW-DOSE DOPAMINERGIC DRUGS TO DELAY THE PROGRESSION OF SPINOCEREBELLAR ATAXIA TYPE 3 AND ALZHEIMER'S DISEASE

NºPublicación:  WO2025230432A1 06/11/2025
Solicitante: 
I3S INSTITUTO DE INVESTIG E INOVACAO EM SAUDE ASSOCIACAO [PT]
I3S - INSTITUTO DE INVESTIGA\u00C7\u00C3O E INOVA\u00C7\u00C3O EM SA\u00DADE, ASSOCIA\u00C7\u00C3O
WO_2025230432_A1

Resumen de: WO2025230432A1

The present invention refers to dopaminergic drugs such as dopamine precursors and aromatic L-amino acid decarboxylase (AADC) inhibitors for use in a treatment to delay the progression of pathologies in which abnormal amyloid deposits spread to different brain regions, consisting of Spinocerebellar Ataxia Type 3 and Alzheimer's Disease, administered in levodopa-equivalent doses below 300 mg/day. The present invention further refers to pharmaceutical formulations comprising the said dopaminergic drugs. The present invention's compounds pharmaceutical formulations and uses may be advantageously employed in a treatment to prevent further accumulation of amyloid deposits in neurons, and minimize adverse effects associated with the prolonged use of dopamine precursors and/or their peripheral degradation.

PRIDOPIDINE FOR TREATING JUVENILE HUNTINGTON'S DISEASE

NºPublicación:  EP4642457A1 05/11/2025
Solicitante: 
PRILENIA NEUROTHERAPEUTICS LTD [IL]
Prilenia Neurotherapeutics Ltd
CN_120569199_A

Resumen de: CN120569199A

Provided herein is a method of treating teenager Huntington's disease in a subject in need thereof, the method comprising orally administering a pharmaceutical composition comprising pridopidine and/or an analog thereof or a pharmaceutically acceptable salt thereof.

PHARMACEUTICAL COMBINATION OF DONEPEZIL AND CEVIMELINE

NºPublicación:  EP4643857A1 05/11/2025
Solicitante: 
LUKA ASSETS INC [US]
Luka Assets Inc
EP_4643857_A1

Resumen de: EP4643857A1

The present invention relates to combination of donepezil or a pharmaceutically acceptable salt thereof and cevimeline or a pharmaceutically acceptable salt thereof for use in the treatment of Alzheimer's disease. Furthermore, a pharmaceutical formulation containing donepezil or a pharmaceutically acceptable salt thereof, cevimeline or a pharmaceutically acceptable salt thereof, and at least one pharmaceutically acceptable excipient is provided.

COMPOSITIONS AND METHODS FOR TREATING PARKINSON'S DISEASE

NºPublicación:  EP4642905A1 05/11/2025
Solicitante: 
MOTIGENIX SINGAPORE PTE LTD [SG]
RELIABLE HOLDINGS CO LTD [SC]
Motigenix Singapore Pte. Ltd,
Reliable Holdings Co., Ltd
KR_20250121452_PA

Resumen de: CN120435551A

Provided herein are compounds, compositions, uses, and methods for increasing cell viability of dopaminergic neurons, or for preventing or treating dopaminergic neuronal death. In certain examples, methods are provided for reducing symptoms and/or for preventing or treating Parkinson's disease in an individual in need thereof, which can include the step of treatment with a GDP-binding form of Rab1a (Rab1aGDP), one or more manifestation nucleic acids encoding Rab1aGDP, or a combination thereof.

COMBINATION TREATMENT OF SCYLLO-INOSITOL AND VITAMIN D AND/OR OTHER VITAMINS OR ACTIVE INGREDIENTS TO TREAT COGNITIVE DISORDERS

NºPublicación:  MX2025002654A 03/11/2025
Solicitante: 
EIRGEN PHARMA LTD [IE]
EIRGEN PHARMA, LTD
CN_120826223_PA

Resumen de: MX2025002654A

The disclosure relates to a combination of active ingredients/adjuvants for the treatment of neurological disorders and diseases such as Alzheimer's disease and mild cognitive impairment (MCI) and memory and cognitive disorders and conditions. In particular, combinations of scyllo-inositol and treatments for Alzheimer's disease such as aducanumab and/or combinations with essential fatty acids such as mixtures of linolenic acid/linoleic acid or vitamin D or vitamin D compounds such as calcifediol are disclosed as useful. The combinations may be in the form of separate dosage forms of each active ingredient or may be an oral dosage form having multiple active ingredients in a single capsule or tablet or oral solution. The invention also relates to a method of treating patients having mild cognitive impairment with MMSE criteria of between 22 to 26 with a pharmaceutically effective amount of scyllo-inositol to treat the disease and to slow down progression to Alzheimer's disease.

ANTI-CD2 ANTIBODIES FOR AMYOTROPHIC LATERAL SCLEROSIS

NºPublicación:  MX2025009971A 03/11/2025
Solicitante: 
ZELARION MALTA LTD [MT]
ZELARION MALTA LIMITED
WO_2024180185_PA

Resumen de: MX2025009971A

Provided herein is an anti-CD2 antibody or antigen binding fragment thereof for treating and/or preventing ALS in a subject in need thereof.

MIVELSIRAN COMPOSITIONS AND METHODS OF USE THEREOF

NºPublicación:  MX2025012729A 03/11/2025
Solicitante: 
ALNYLAM PHARMACEUTICALS INC [US]
ALNYLAM PHARMACEUTICALS, INC
AU_2024260719_A1

Resumen de: MX2025012729A

The disclosure relates to double stranded ribonucleic acid (dsRNAi) agents and compositions targeting the APP gene, as well as methods of inhibiting expression of an APP gene and methods of treating subjects having an APP-associated disease or disorder, such as Alzheimer's disease (e.g., early onset Alzheimer's disease), using such dsRNAi agents and compositions.

METHODS AND COMPOSITIONS FOR REDUCING SYMPTOMS OF PARKINSON'S DISEASE

NºPublicación:  MX2025012236A 03/11/2025
Solicitante: 
NEURODERM LTD [IL]
NEURODERM, LTD
TW_202448421_A

Resumen de: MX2025012236A

Disclosed is a method for the treatment of a neurological or movement disorder, e.g., Parkinson's disease, in a patient in need thereof, by parenteral administration of levodopa and a dopa decarboxylase inhibitor (DDCI), such as carbidopa, benserazide or any combination thereof.

GENE THERAPY VECTORS FOR USE IN PARKINSON'S DISEASE

NºPublicación:  MX2025009097A 03/11/2025
Solicitante: 
JANSSEN PHARMACEUTICA NV [BE]
JANSSEN PHARMACEUTICA NV
KR_20250142386_PA

Resumen de: MX2025009097A

Disclosed herein are recombinant gene therapy vectors comprising a PTEN-induced kinase 1 (PINK1) encoding gene that is operatively linked to a promoter and methods of using the recombinant therapy vectors for inhibiting, reducing, or delaying degeneration or death of neurons of a subject.

Methods of treatment and prevention of alzheimer's disease

NºPublicación:  IL323583A 01/11/2025
Solicitante: 
EISAI R& D MAN CO LTD [JP]
EISAI R& D MANAGEMENT CO. LTD
IL_323583_A

Resumen de: CN118924896A

The invention relates to a method for treating and preventing Alzheimer's disease. The present invention provides methods of reducing clinical decline in a subject suffering from early Alzheimer's disease; a method of converting an amyloid-positive subject suffering from early Alzheimer's disease to an amyloid-negative subject; methods of reducing brain amyloid levels in a subject; and methods of preventing Alzheimer's disease comprising administering a composition comprising a therapeutically effective amount of at least one anti-A beta profibril antibody. In some embodiments, the subject is ApoE4 positive. In some embodiments, the at least one anti-A beta protofibril antibody is BAN2401.

Methods and compositions for reducing symptoms of parkinson's disease

NºPublicación:  IL323682A 01/11/2025
Solicitante: 
NEURODERM LTD [IL]
ADAR LIAT [IL]
LOPES NELSON FELIX [IL]
SALIN LAURENCE [IL]
YARDENI TAMAR [IL]
SASSON NISSIM [IL]
OREN SHEILA [IL]
YARITA HIKARI [JP]
HIMIZU MIKIO [JP]
VOSTOKOVA NATALIA [IL]
NEURODERM LTD,
ADAR Liat,
LOPES Nelson Felix,
SALIN Laurence,
YARDENI Tamar,
SASSON Nissim,
OREN Sheila,
YARITA Hikari,
HIMIZU Mikio,
VOSTOKOVA Natalia
IL_323682_A

Resumen de: MX2025012236A

Disclosed is a method for the treatment of a neurological or movement disorder, e.g., Parkinson's disease, in a patient in need thereof, by parenteral administration of levodopa and a dopa decarboxylase inhibitor (DDCI), such as carbidopa, benserazide or any combination thereof.

USE OF ACHYRANTHES BIDENTATA POLYPEPTIDE COMBINED WITH HUMAN UMBILICAL CORD MESENCHYMAL STEM CELL-DERIVED EXOSOME IN PREPARATION OF DRUG FOR PREVENTING AND/OR TREATING PARKINSON'S DISEASE

Nº publicación: WO2025223573A1 30/10/2025

Solicitante:

NANTONG UNIV [CN]
\u5357\u901A\u5927\u5B66

WO_2025223573_PA

Resumen de: WO2025223573A1

Provided in the present invention is the use of an Achyranthes bidentata polypeptide combined with a human umbilical cord mesenchymal stem cell-derived exosome in the preparation of a drug for preventing and/or treating Parkinson's disease. A Parkinson's disease (PD) model mouse is established using 1-methyl-4-phenyl-1,2,3,6-tetrahydropyridine (MPTP), and then an Achyranthes bidentata polypeptide is used in combination with a human umbilical cord mesenchymal stem cell-derived exosome to treat the mouse. It is found that the treatment can significantly relieve PD-related symptoms, for example, restoring the number of dopaminergic neurons in the substantia nigra, improving the expression of tyrosine hydroxylase in the midbrain, relieving motor and olfactory dysfunction of the PD model mouse, reducing the activation of microglia and astrocytes in the olfactory bulb and midbrain, and improving the activity of neurons in the olfactory bulb.

traducir